Magna Concursos

Foram encontradas 30 questões.

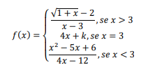
3273931 Ano: 2024
Disciplina: Matemática
Banca: FUNCERN
Orgão: AMCEVALE
Provas:

Considere a função real definida por

Enunciado 3684604-1

Para que f seja contínua no ponto de abscissa 3, o valor de k é igual a

 

Provas

Questão presente nas seguintes provas
3273930 Ano: 2024
Disciplina: Raciocínio Lógico
Banca: FUNCERN
Orgão: AMCEVALE
Provas:
Para todo n natural, Enunciado 3684603-1 é igual a
 

Provas

Questão presente nas seguintes provas
3273929 Ano: 2024
Disciplina: Matemática
Banca: FUNCERN
Orgão: AMCEVALE
Provas:
Considerando como recompensa para os melhores desempenhos em uma Olimpíada Regional de Matemática, os alunos mais destacados serão contemplados com uma viagem à Disney. Para celebrar essa conquista estão sendo confeccionadas camisetas que apresentam uma logomarca do Mickey estabelecendo uma conexão entre a Disney e a Matemática. A logomarca é composta por três círculos: um maior inscrito no quadrado (simbolizando a cabeça) e outros dois tangentes a esse maior (representando as orelhas), conforme apresentado na Figura 03.
Enunciado 3684602-1

Para cada tamanho de camisa, o símbolo deve se adaptar à variação no tamanho. Para alcançar isso, é essencial fornecer ao equipamento responsável pela fabricação as medidas dos raios do círculo maior (R) e do menor (r) em relação ao tamanho do lado l do quadrado. Essas medidas, respectivamente, são
 

Provas

Questão presente nas seguintes provas
3273928 Ano: 2024
Disciplina: Matemática
Banca: FUNCERN
Orgão: AMCEVALE
Provas:
O cálculo do volume da churrasqueira desempenha um papel significativo nas considerações de transporte. Ter conhecimento do volume pode impactar as decisões logísticas e os requisitos de transporte. Uma empresa especializada no transporte de churrasqueiras pré-moldadas que são entregues já montadas requer informações precisas sobre o volume total de um modelo específico de churrasqueira. Esse modelo é composto por prismas e, na parte superior, apresenta um tronco de pirâmide de altura 40 cm, como ilustrado na Figura a seguir.
Enunciado 3684601-1

O volume do sólido geométrico, em m3 , representado na Figura e desenhado por meio do modelo da churrasqueira, é igual a
 

Provas

Questão presente nas seguintes provas
3273927 Ano: 2024
Disciplina: Matemática
Banca: FUNCERN
Orgão: AMCEVALE
Provas:
Em uma loja de roupas, existem 12 camisetas distintas disponíveis para compra. Um cliente decidiu adquirir, exatamente, 3 camisetas diferentes para formar um conjunto exclusivo. O cliente está disposto a incluir, pelo menos, uma camiseta preta, sendo que, entre as 12 opções disponíveis, há 3 camisetas pretas. O número de escolhas únicas de conjuntos de camisetas que o cliente pode fazer é
 

Provas

Questão presente nas seguintes provas
3273926 Ano: 2024
Disciplina: Matemática
Banca: FUNCERN
Orgão: AMCEVALE
Provas:
Em uma oficina de produção de artesanato, um grupo de 4 artesãos consegue concluir a confecção de 5 peças decorativas em 6 dias, trabalhando 8 horas diárias. Imagine que a demanda aumentou e que eles precisam produzir 48 peças para atender aos pedidos. Considerando que as mesmas proporções mantêm-se, com uma carga horária de 8 horas diárias, o tempo mínimo necessário para um grupo de 6 artesãos concluir a fabricação das 48 peças decorativas é
 

Provas

Questão presente nas seguintes provas
3273925 Ano: 2024
Disciplina: Matemática
Banca: FUNCERN
Orgão: AMCEVALE
Provas:
Sendo Enunciado 3684598-1, com domínio mais abrangente possível e Enunciado 3684598-2, o valor de L é
 

Provas

Questão presente nas seguintes provas
3273924 Ano: 2024
Disciplina: Matemática
Banca: FUNCERN
Orgão: AMCEVALE
Provas:
Em uma caixa, há dez bolas numeradas de 1 a 10. Se você retirar duas bolas consecutivamente, sem reposição, a probabilidade de ambas as bolas terem números primos (com divisores distintos) é
 

Provas

Questão presente nas seguintes provas
3273923 Ano: 2024
Disciplina: Matemática
Banca: FUNCERN
Orgão: AMCEVALE
Provas:
Seja A um dos pontos de interseção entre a parábola e a reta de coeficiente angular igual a 2, conforme ilustrado na Figura abaixo, então, o produto das coordenadas de A é
Enunciado 3684596-1
 

Provas

Questão presente nas seguintes provas
3273922 Ano: 2024
Disciplina: Estatística
Banca: FUNCERN
Orgão: AMCEVALE
Provas:
Na competição anual de xadrez do clube da cidade de Assu/RN, a média aritmética das pontuações dos 80 melhores jogadores foi de 7,2 pontos. Entre esses jogadores, 30 conseguiram 6 pontos nas partidas. A média aritmética das pontuações dos outros 50 jogadores é
 

Provas

Questão presente nas seguintes provas