Foram encontradas 1.406 questões.
A figura a seguir mostra o gráfico da função f(x) = log2x e os pontos:
A = (4, 0), B = (12, 0), C = (12, f(12)) e D = (4, f(4)).

Provas
Questão presente nas seguintes provas
A figura a seguir mostra o cubo ABCDEFGH de aresta 1.

O plano que passa pelos pontos H, M e B determina no cubo uma seção de área
Provas
Questão presente nas seguintes provas
O plano cartesiano representado a seguir está quadriculado e
cada quadrícula tem lado de 1 unidade.

Uma linha poligonal foi desenhada mantendo sempre a repetição de determinado padrão.
Um percurso sobre essa poligonal, começando no ponto (0, 0) e com 2018 unidades de comprimento, terá sua extremidade no ponto

Uma linha poligonal foi desenhada mantendo sempre a repetição de determinado padrão.
Um percurso sobre essa poligonal, começando no ponto (0, 0) e com 2018 unidades de comprimento, terá sua extremidade no ponto
Provas
Questão presente nas seguintes provas
Considere o sistema linear:

Provas
Questão presente nas seguintes provas
A figura a seguir mostra uma circunferência no plano cartesiano
com centro no ponto (3, 2) e um segmento AB perpendicular ao
eixo X.

Se a abscissa de A é 4, o comprimento do segmento AB é de, aproximadamente,
Obs: use a aproximação que for necessária:


Se a abscissa de A é 4, o comprimento do segmento AB é de, aproximadamente,
Obs: use a aproximação que for necessária:

Provas
Questão presente nas seguintes provas
A figura a seguir mostra a secante PAB e a tangente PT a uma
circunferência. Sabe-se que, no triângulo PTB, tem-se PT = TB e
que, na circunferência, os arcos AB e BT têm a mesma medida.

O ângulo APT mede

O ângulo APT mede
Provas
Questão presente nas seguintes provas
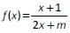
Considere a função real f definida por
e sua inversa f -1.
Se f -1 (2) = 5 , o valor de m é
Provas
Questão presente nas seguintes provas
Se
= b0 + b1X é a reta ajustada pela regressão e se ei = Yi -
é o
resíduo da observação i, i – 1, ..., n, avalie as afirmativas a seguir.

Está correto o que se afirma em
Provas
Questão presente nas seguintes provas
Você e sua equipe modelam uma planta (física) obtendo sistemas
lineares invariantes no tempo, em Espaço de Estados, com uma
entrada e uma saída. As matrizes de estado (A), de entrada (B),
de saída (C) e de transmissão direta (D) de sua modelagem são,
respectivamente:

Dentre os demais modelos obtidos pelos integrantes de sua equipe, apresentados a seguir e com dimensões compatíveis com a modelagem que você realizou, é equivalente, do ponto de vista de entrada e de saída, ao seu modelo aquele descrito na opção:

Dentre os demais modelos obtidos pelos integrantes de sua equipe, apresentados a seguir e com dimensões compatíveis com a modelagem que você realizou, é equivalente, do ponto de vista de entrada e de saída, ao seu modelo aquele descrito na opção:
Provas
Questão presente nas seguintes provas
Manoel possui tintas de 5 cores diferentes e deve pintar a
bandeira abaixo de forma que:
• cada região será pintada com uma única cor. • duas regiões vizinhas não podem ter a mesma cor.

O número de maneiras diferentes que Manoel pode pintar essa bandeira é
• cada região será pintada com uma única cor. • duas regiões vizinhas não podem ter a mesma cor.

O número de maneiras diferentes que Manoel pode pintar essa bandeira é
Provas
Questão presente nas seguintes provas
Cadernos
Caderno Container