Foram encontradas 2.300 questões.

As figuras de I a IV acima mostram circuitos elétricos, dos quais se deseja determinar o circuito equivalente de Thevenin ou o de Norton entre os terminais A e B. Considerando que Vth e Rth representam, respectivamente, a tensão e a resistência equivalente de Thevenin, e que IN e RN representam, respectivamente, a corrente e a resistência equivalente de Norton, julgue os itens a seguir.
Para o circuito na figura I, IN = 1 mA e RN = 1,2 kΩ
Provas

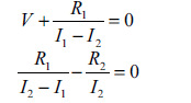
As figuras de I a III acima mostram circuitos elétricos, com a indicação de fontes de alimentação, de resistores e das correntes de malha. No que diz respeito a esses circuitos, julgue os itens seguintes.
As duas correntes de malha do circuito na figura II podem ser obtidas corretamente a partir das equações abaixo.

Provas

As figuras de I a III acima mostram circuitos elétricos, com a indicação de fontes de alimentação, de resistores e das correntes de malha. No que diz respeito a esses circuitos, julgue os itens seguintes.
As equações de malha para o circuito da figura III são apresentadas corretamente a seguir.

Provas

As figuras de I a III acima mostram circuitos elétricos, com a indicação de fontes de alimentação, de resistores e das correntes de malha. No que diz respeito a esses circuitos, julgue os itens seguintes.
As equações a seguir descrevem corretamente as duas equações de malha para o circuito elétrico mostrado na figura I.

Provas

A figura acima mostra um circuito elétrico que contém fontes de tensão constante e resistores com mesmo valor de resistência. No circuito, estão indicados dois nós representando os potenciais e1 e e2, em relação à referência (terra). Com relação a esse circuito elétrico, julgue os itens de 58 a 63.
Se o resistor conectado entre a fonte de tensão V2 e o nó e2 for retirado do circuito (ou seja, se for substituído por circuito aberto), então o potencial e2 será igual a 
Provas

A figura acima mostra um circuito elétrico que contém fontes de tensão constante e resistores com mesmo valor de resistência. No circuito, estão indicados dois nós representando os potenciais e1 e e2, em relação à referência (terra). Com relação a esse circuito elétrico, julgue os itens de 58 a 63.
Com base na lei de Kirchoff das correntes, é correto afirmar que a corrente de malha I1 deve ser necessariamente igual à corrente I2
Provas

A figura acima mostra um circuito elétrico que contém fontes de tensão constante e resistores com mesmo valor de resistência. No circuito, estão indicados dois nós representando os potenciais e1 e e2, em relação à referência (terra). Com relação a esse circuito elétrico, julgue os itens de 58 a 63.
Se o resistor entre os nós com potenciais e1 e e2 for retirado do circuito (ou seja, se for substituído por circuito aberto), então e2 - e1 será igual a 
Provas

A figura acima mostra um circuito elétrico que contém fontes de tensão constante e resistores com mesmo valor de resistência. No circuito, estão indicados dois nós representando os potenciais e1 e e2, em relação à referência (terra). Com relação a esse circuito elétrico, julgue os itens de 58 a 63.
As equações apresentadas a seguir podem indicar corretamente equações de malha para o circuito, considerando-se os sentidos de cada corrente de malha indicados na figura.

Provas

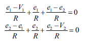
A figura acima mostra um circuito elétrico que contém fontes de tensão constante e resistores com mesmo valor de resistência. No circuito, estão indicados dois nós representando os potenciais e1 e e2, em relação à referência (terra). Com relação a esse circuito elétrico, julgue os itens de 58 a 63.
As equações apresentadas a seguir podem corresponder corretamente às equações nodais do circuito.

Provas

A figura acima mostra um circuito elétrico que contém fontes de tensão constante e resistores com mesmo valor de resistência. No circuito, estão indicados dois nós representando os potenciais e1 e e2, em relação à referência (terra). Com relação a esse circuito elétrico, julgue os itens de 58 a 63.
Se, para o resistor R conectado entre a fonte de tensão V1 e o nó e1, o módulo da queda de tensão for igual a 50 volts e o módulo da corrente for igual a 20 miliamperes, então o valor da resistência desse resistor é igual a 2,5 kΩ .
Provas
Caderno Container