Foram encontradas 70 questões.
A figura a seguir é um recorte da representação de um processo seguindo a notação BPMN.

Nessa figura, os símbolos/elementos (I), (II), (III) e (IV) são chamados, respectivamente, de:
Provas
Questão presente nas seguintes provas
A vacância das funções de conselheiro é determinada pelo Estatuto do Serviço Social Autônomo da ABDI, sendo realizada por dois terços de seus membros. Assinale a alternativa incorreta sobre a motivação da vacância das funções de conselheiro.
Provas
Questão presente nas seguintes provas
Processos que não agregam valor diretamente ao cliente, mas que são necessários para assegurar que a organização opera de maneira eficiente e efetiva, são:
Provas
Questão presente nas seguintes provas
Assinale a alternativa incorreta a respeito dos órgãos deliberativo e fiscal da ABDI, conforme dispõe a Lei nº 11.080/2004.
Provas
Questão presente nas seguintes provas
Analise as alternativas e assinale a incorreta, a respeito dos órgãos de direção da ABDI, de acordo com a Lei nº 11.080/2004.
Provas
Questão presente nas seguintes provas
Assinale a alternativa que contém termos e expressões que completam corretamente as lacunas.
''O principal diferenciador entre processos e é que os processos não geram valor direto aos clientes."
Provas
Questão presente nas seguintes provas
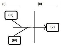
Uma equipe está investigando uma situação em que um de seus equipamentos não está funcionando. Para investigar a causa, eles utilizam a ferramenta baseada em diagrama parcialmente esquematizada a seguir.

Nessa figura, os termos corretos para substituir (I), (II), (III), (IV) e (V) são, respectivamente:
Provas
Questão presente nas seguintes provas
A notação da cadeia de valor proposta por Michael Porter permite analisar o fluxo de processos que diretamente contribuem para produzir valor aos clientes. O modelo genérico de M. Porter é composto pelos processos:
Provas
Questão presente nas seguintes provas
Em um processo, segundo a notação BPMN e as definições do BPM CBOK, qualquer ponto onde o trabalho ou a informação passa de um sistema, pessoa ou grupo para outro é chamado de:
Provas
Questão presente nas seguintes provas
Entender o ambiente em que a empresa atua é essencial à operacionalização de processos de trabalho de forma alinhada aos objetivos maiores da organização. Uma ferramenta simples e essencial muito utilizada na análise de cenários é a matriz SWOT. Nessa matriz:
Provas
Questão presente nas seguintes provas
Cadernos
Caderno Container