Magna Concursos

Foram encontradas 36.167 questões.

3747695 Ano: 2025
Disciplina: Química
Banca: VUNESP
Orgão: SEDUC-SP
O Brasil desempenha um papel significativo na produção mundial de bauxita e alumínio. Esse metal é obtido em um processo industrial que envolve diversas etapas.
A etapa do processo que resulta no alumínio metálico é:
 

Provas

Questão presente nas seguintes provas
3747694 Ano: 2025
Disciplina: Química
Banca: VUNESP
Orgão: SEDUC-SP

O fósforo-32 é um radioisótopo empregado em radioterapia para tratamento do câncer. Ele é obtido em reator nuclear ou em aceleradores de partículas a partir do precursor enxofre-32. A reação nuclear da sua obtenção é representada por:

\(^{32}_{16}S + x \rightarrow ^{32}_{15}P + y\)

Na reação nuclear de obtenção do fósforo-32, x e y são, correta e respectivamente,

 

Provas

Questão presente nas seguintes provas
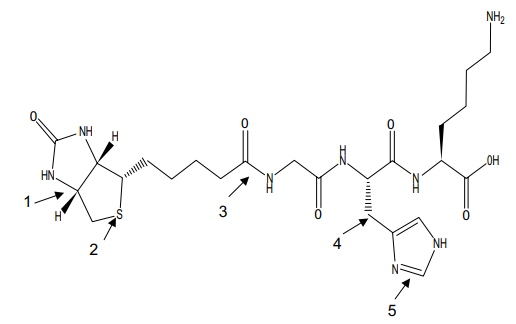
3747693 Ano: 2025
Disciplina: Química
Banca: VUNESP
Orgão: SEDUC-SP

A figura representa a estrutura primária da fração de uma proteína.

Enunciado 3747693-1

A ligação peptídica é indicada pela seta de número

 

Provas

Questão presente nas seguintes provas
3747692 Ano: 2025
Disciplina: Química
Banca: VUNESP
Orgão: SEDUC-SP
A fórmula estrutural de um derivado de alcaloide empregado na síntese de fármacos é representada na figura.

Enunciado 3747692-1


Esse composto apresenta um grupo funcional característico da função orgânica
 

Provas

Questão presente nas seguintes provas
3747691 Ano: 2025
Disciplina: Química
Banca: VUNESP
Orgão: SEDUC-SP
Em um experimento para estudar a cinética de reações químicas, foram misturadas soluções incolores de ácido oxálico (H2 C2 O4 ) e ácido sulfúrico (H2 SO4 ), e uma solução violeta de permanganato de potássio (KMnO4 ) de concentrações variadas. A reação entre essas três substâncias produz uma solução aquosa incolor contendo íons sulfato (SO4 2– ), íons manganês (II) (Mn2+) e desprende dióxido de carbono (CO2 ). O tempo decorrido para que a cor da mistura reagente mudasse de violeta para incolor foi medido com um cronômetro, e os dados relacionados ao experimento estão apresentados na tabela.
Enunciado 3747691-1
Dentre os experimentos, um deles foi realizado adicionando-se um catalisador.
Com base nos dados apresentados, conclui-se que se trata do experimento de número
 

Provas

Questão presente nas seguintes provas
3747690 Ano: 2025
Disciplina: Química
Banca: VUNESP
Orgão: SEDUC-SP
Em um experimento para estudar a cinética de reações químicas, foram misturadas soluções incolores de ácido oxálico (H2 C2 O4 ) e ácido sulfúrico (H2 SO4 ), e uma solução violeta de permanganato de potássio (KMnO4 ) de concentrações variadas. A reação entre essas três substâncias produz uma solução aquosa incolor contendo íons sulfato (SO4 2– ), íons manganês (II) (Mn2+) e desprende dióxido de carbono (CO2 ). O tempo decorrido para que a cor da mistura reagente mudasse de violeta para incolor foi medido com um cronômetro, e os dados relacionados ao experimento estão apresentados na tabela.
Enunciado 3747690-1
Para a reação entre H2 C2 O4 , H2 SO4 e KMnO4 , o agente redutor, o número de oxidação do manganês no permanganato de potássio e a quantidade de elétrons, em mol, envolvidos na transformação de 1 mol de átomos de manganês são, respectivamente,
 

Provas

Questão presente nas seguintes provas
3747689 Ano: 2025
Disciplina: Química
Banca: VUNESP
Orgão: SEDUC-SP

No quadro, são apresentados combustíveis veiculares disponibilizados no Brasil.

Enunciado 3747689-1

Os combustíveis 1, 2 e 3 são, respectivamente, de origem

 

Provas

Questão presente nas seguintes provas
3747688 Ano: 2025
Disciplina: Química
Banca: VUNESP
Orgão: SEDUC-SP

A figura representa o esquema de uma reação de hidrólise de uma substância orgânica.

Enunciado 3747688-1

Os produtos dessa reação são:

 

Provas

Questão presente nas seguintes provas
3747687 Ano: 2025
Disciplina: Química
Banca: VUNESP
Orgão: SEDUC-SP

A figura representa o esquema de uma cuba eletrolítica.

Enunciado 3747687-1

Nessa cuba, o eletrodo 2 é denominado_______ . A reação de ________ocorre no eletrodo 1 que_______  íon que participa da reação. Assinale a alternativa que completa, correta e respectivamente, as lacunas.

 

Provas

Questão presente nas seguintes provas
3747686 Ano: 2025
Disciplina: Química
Banca: VUNESP
Orgão: SEDUC-SP
O polietileno verde contribui para a redução das emissões de CO2 , alia sustentabilidade à eficiência e oferece uma alternativa ecológica aos plásticos tradicionais derivados de petróleo.
O polietileno verde é produzido a partir do _________.O polietileno é resultado da polimerização de um_________ .
As lacunas são preenchidas, correta e respectivamente, por
 

Provas

Questão presente nas seguintes provas