Foram encontradas 36.142 questões.
A natureza fez uso intensivo da capacidade do cálcio em
formar estruturas rígidas. Ele é encontrado na forma de
carbonato de cálcio, CaCO3
, na concha de moluscos, e
na forma de fosfato de cálcio, Ca3
(PO4
)
2
, nos ossos e
dentes. Grandes depósitos de calcário provêm de conchas e micro-organismos que se acumularam no leito dos
oceanos há milhões de anos.
Quimicamente, carbonato de cálcio e fosfato de cálcio são classificados, respectivamente, como
Quimicamente, carbonato de cálcio e fosfato de cálcio são classificados, respectivamente, como
Provas
Questão presente nas seguintes provas
O hidróxido de bário Ba(OH)2
, composto químico, conhecido como barita, é uma base forte, solúvel em água.
É utilizado em diversas aplicações, como aditivo em
lubrificantes e graxas, na fabricação de açúcar e sabão
e como reagente em reações químicas.
Para produzir 1 mol de barita, são necessárias, respectivamente, as seguintes quantidades, em gramas, de bário, oxigênio e hidrogênio:
Para produzir 1 mol de barita, são necessárias, respectivamente, as seguintes quantidades, em gramas, de bário, oxigênio e hidrogênio:
Provas
Questão presente nas seguintes provas
Compostos orgânicos apresentam grupos químicos
funcionais, biologicamente importantes, que conferem
suas propriedades. Um desses grupos químicos é o
grupo carboxila, representado na ilustração a seguir:
(https://www.infoescola.com/quimica/acidos-carboxilicos/)
Esse grupo químico é encontrado em várias moléculas orgânicas, como
(https://www.infoescola.com/quimica/acidos-carboxilicos/)
Esse grupo químico é encontrado em várias moléculas orgânicas, como
Provas
Questão presente nas seguintes provas
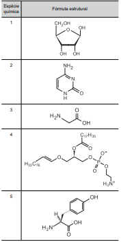
Na tabela a seguir são apresentadas as fórmulas estruturais de espécies químicas presentes no sistema
biológico:
Dentre as espécies químicas da tabela, as de números________ formam ligação peptídica na constituição de proteínas.
A lacuna é preenchida corretamente por
Dentre as espécies químicas da tabela, as de números________ formam ligação peptídica na constituição de proteínas.
A lacuna é preenchida corretamente por
Provas
Questão presente nas seguintes provas
A nucleossíntese estelar é o principal mecanismo formador dos elementos químicos no Universo, e a formação
do elemento X é representada na equação a seguir:
O elemento representado por X nessa equação é o
O elemento representado por X nessa equação é o
Provas
Questão presente nas seguintes provas
Em rótulos de produtos químicos utilizados em laboratórios químicos, bem como de certos produtos de
limpeza de uso da população, os pictogramas de
perigo do Sistema Globalmente Harmonizado de Classificação e Rotulagem de Produtos Químicos (GHS) são
obrigatórios, como o pictograma representado a seguir.
(https://crqsp.org.br/ghs-os-significadosdos-simbolos-dos-rotulos-dos-produtos-quimicos/)
Esse pictograma indica que o produto químico
(https://crqsp.org.br/ghs-os-significadosdos-simbolos-dos-rotulos-dos-produtos-quimicos/)
Esse pictograma indica que o produto químico
Provas
Questão presente nas seguintes provas
A figura representa a fórmula estrutural de um composto produzido naturalmente pela glândula pineal. Esse
composto atua na regulação do ciclo sono-vigília, sendo
essencial para o equilíbrio físico e psicoemocional.
Esse composto apresenta grupos funcionais característicos das funções orgânicas
Esse composto apresenta grupos funcionais característicos das funções orgânicas
Provas
Questão presente nas seguintes provas
As substâncias a seguir apresentam-se no estado líquido a 20 ºC e 1 atm.

A interação intermolecular ligação de hidrogênio ocorre na substância de número
Provas
Questão presente nas seguintes provas
A equação não balanceada a seguir representa a reação
de formação da sulfamida, SO2
(NH2
)
2
:
Nessa equação, a soma dos coeficientes estequiométricos para a formação de 1 mol de sulfamida é igual a
Nessa equação, a soma dos coeficientes estequiométricos para a formação de 1 mol de sulfamida é igual a
Provas
Questão presente nas seguintes provas
Considere as informações a seguir a respeito da reação entre o iodo na forma gasosa e o gás hidrogênio:

A reação no sentido da formação do composto HI gasoso é ___________ e o equilíbrio reacional é deslocado no sentido da formação desse composto com ______. .
As lacunas são preenchidas, correta e respectivamente, por
Provas
Questão presente nas seguintes provas
Cadernos
Caderno Container