Foram encontradas 16.090 questões.
Um banco libera um crédito para uma empresa no valor
de R$ 240.000,00, à taxa de 5% a.s., para ser reembolsado em 5 parcelas semestrais, com dois semestres de
carência, a primeira parcela vencível ao final do terceiro
semestre.
Não há carência para os juros, nessas condições, o valor da última prestação, pelo sistema de amortização constante, foi
Não há carência para os juros, nessas condições, o valor da última prestação, pelo sistema de amortização constante, foi
Provas
Questão presente nas seguintes provas
Uma empresa tem títulos mensais a receber, um a cada
mês, no valor unitário de R$ 7.500,00, com o primeiro
vencendo em 30 dias e o último em 750 dias. Ela negociará todos esses títulos em um banco, mediante desconto comercial (desconto simples), com taxa mensal de
desconto de 4%.
O valor líquido que ela receberá na negociação será de
O valor líquido que ela receberá na negociação será de
Provas
Questão presente nas seguintes provas
Um financiamento de R$ 30.000,00 deverá ser amortizado, por meio do Sistema Francês, em parcelas
semestrais e consecutivas, com juros compostos de 5%
ao semestre.
Sabendo que, no terceiro semestre, o saldo devedor é de R$ 16.095,84, e a prestação no segundo semestre foi de R$ 5.910,52, o valor da amortização no quinto semestre será de, aproximadamente,
Sabendo que, no terceiro semestre, o saldo devedor é de R$ 16.095,84, e a prestação no segundo semestre foi de R$ 5.910,52, o valor da amortização no quinto semestre será de, aproximadamente,
Provas
Questão presente nas seguintes provas
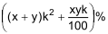
Sejam x, y e k números reais e positivos, então dois
aumentos consecutivos, um de xk% e outro de yk% correspondem a um aumento percentual igual a quanto?
Provas
Questão presente nas seguintes provas
Um projeto de investimento com vida útil de dois anos
prevê um investimento de R$ 12.000,00 na data inicial,
um fluxo de caixa de R$ 8.400,00 após o primeiro ano e
R$ 7.200,00 após o segundo ano. Não há valor residual.
A taxa interna de retorno (TIR) do projeto é de
A taxa interna de retorno (TIR) do projeto é de
Provas
Questão presente nas seguintes provas
Um equipamento é vendido por R$ 7.532,21 em dois
pagamentos iguais, sem acréscimos, o primeiro no ato
da compra e o segundo um mês após a compra. Para
pagamento à vista, há um desconto de 4% sobre o preço
de R$ 7.532,21.
A taxa mensal de juros é, aproximadamente, igual a
A taxa mensal de juros é, aproximadamente, igual a
Provas
Questão presente nas seguintes provas
Uma pessoa aplicou, durante 10 meses, R$ 5.200,00 a
juros simples em dois bancos. No banco A, foi aplicada
uma parte a 3% ao mês. No banco B, aplicou-se o restante a 4% ao mês. O total de juros que a pessoa recebeu
nas duas aplicações foi de R$ 1.680,00.
Com base nessas informações, é correto afirmar que
Com base nessas informações, é correto afirmar que
Provas
Questão presente nas seguintes provas
Curiosamente, a cotação anual de um ativo sofreu reajustes positivos e sucessivos de, respectivamente, 3%,
40%, 3%, 40%, 3%, 40% e 3%.
Após esses sete reajustes na cotação, é correto afirmar que o reajuste total que essa cotação sofreu foi um valor mais próximo de
Após esses sete reajustes na cotação, é correto afirmar que o reajuste total que essa cotação sofreu foi um valor mais próximo de
Provas
Questão presente nas seguintes provas
Maurício fará duas aplicações financeiras: a primeira,
de R$ 4.000,00, a juros compostos, durante 3 meses,
sob a taxa mensal de 1,0%, e a segunda, também de
R$ 4.000,00, mas a juros simples e durante 5 meses.
Maurício calculou o valor i da taxa mensal de juros da segunda aplicação, de modo que os juros obtidos dela fossem iguais aos juros obtidos da primeira aplicação.
Feito corretamente esse cálculo, que valor Maurício obteve para i, aproximadamente?
Maurício calculou o valor i da taxa mensal de juros da segunda aplicação, de modo que os juros obtidos dela fossem iguais aos juros obtidos da primeira aplicação.
Feito corretamente esse cálculo, que valor Maurício obteve para i, aproximadamente?
Provas
Questão presente nas seguintes provas
3961285
Ano: 2025
Disciplina: Matemática Financeira
Banca: SELECON
Orgão: Pref. Lucas Rio Verde-MT
Disciplina: Matemática Financeira
Banca: SELECON
Orgão: Pref. Lucas Rio Verde-MT
Provas:
Claúdio dividiu o capital de 20.000 reais em duas partes e
aplicou ambas a juros simples. Uma dessas partes foi aplicada à
taxa de 2% ao mês durante 8 meses, e a outra parte foi aplicada
à taxa de 5% ao mês durante 1 semestre. Se os juros totais,
provenientes das duas aplicações, correspondeu a 4.236 reais,
então a maior dessas duas partes, em reais, é igual a:
Provas
Questão presente nas seguintes provas
Cadernos
Caderno Container