Magna Concursos

Foram encontradas 16.088 questões.

3962435 Ano: 2026
Disciplina: Matemática Financeira
Banca: FCM
Orgão: IF-AM
As técnicas de orçamento de capital são ferramentas usadas para avaliar a aceitabilidade e a classificação de projetos. São aplicadas aos fluxos de caixa relevantes de cada projeto, indicando aqueles investimentos de capital que condizem com o objetivo da empresa.

Todas as afirmações a seguir são verdadeiras sobre as técnicas conhecidas como Payback, Taxa Interna de Retorno e Valor Presente Líquido, EXCETO:
 

Provas

Questão presente nas seguintes provas
3957190 Ano: 2026
Disciplina: Matemática Financeira
Banca: FUNDATEC
Orgão: Pref. Três Passos-RS
Provas:
Certo investimento financeiro rende 1% a.m. no regime de juros compostos, porém, no ato de resgate, são cobrados 15% de imposto de renda sobre o rendimento obtido. Sabendo que Marcelo aplicou R$ 20.000,00 por dois anos, qual foi o valor líquido aproximado resgatado no final do período? Considere 1,01²⁴ = 1,27.
 

Provas

Questão presente nas seguintes provas
3957161 Ano: 2026
Disciplina: Matemática Financeira
Banca: FUNDATEC
Orgão: Pref. Três Passos-RS
Provas:
Joana emprestou R$ 1.200,00 à sua irmã para o pagamento de um aluguel atrasado. Após 4 meses, recebeu o valor de volta acrescido de R$ 120,00. Considerando que a operação foi realizada com juros simples, qual foi a taxa de juros mensal utilizada?
 

Provas

Questão presente nas seguintes provas
3957112 Ano: 2026
Disciplina: Matemática Financeira
Banca: FUNDATEC
Orgão: Pref. Três Passos-RS
Provas:
A Confederação Nacional de Municípios (CNM) realizou uma projeção de impacto do reajuste do salário mínimo nacional para as administrações locais em 2026, com o objetivo de auxiliar no planejamento dos gastos públicos municipais. Com isso, o salário mínimo será reajustado, passando de R$ 1.518,00 para:
 

Provas

Questão presente nas seguintes provas
Carla aplicou R$ 50.000,00 em um investimento que rende juros compostos à taxa de 2% ao trimestre, pelo prazo de 6 meses. Para avaliar o retorno financeiro da aplicação, analise as afirmações a seguir.

I.A aplicação do regime composto exige a utilização da fórmula M = C * (1 + i)?.
II.O montante ao final de 6 meses é obtido multiplicando o capital inicial por 1,2.
III.O tempo usado deve ser de 2 trimestres, que corresponde a 6 meses.
IV.O montante final da aplicação é inferior a R$ 50.200,00.

Está CORRETO o que se afirma em:
Questão Anulada

Provas

Questão presente nas seguintes provas
4023273 Ano: 2026
Disciplina: Matemática Financeira
Banca: Fênix
Orgão: Pref. Cerro Negro-SC
A partir de uma aplicação financeira que tem como sistema de juros, o composto, analise as assertivas que seguem:

I. A principal diferença com relação ao sistema de juros simples é a variação temporal de uma aplicação para outra, que muda, pois no simples a taxa sempre segue uma mesma variação: mensal, por exemplo.

II. Se a taxa de aplicação bimestral é de 1%, tem-se que sua equivalente semestral, se fosse em sistema de juros simples, seria de 3,0301%.

III. Os juros obtidos são maiores do que no sistema de juros simples, considerando mesma taxa e mesma periodicidade de aplicação, mas o montante é sempre o mesmo.

Acerca das assertivas, pode-se afirmar que:
Questão Anulada

Provas

Questão presente nas seguintes provas
4006267 Ano: 2025
Disciplina: Matemática Financeira
Banca: IBED
Orgão: Pref. São João Varjota-PI
Provas:
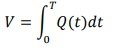
Uma bomba hidráulica esvazia uma piscina com volume V, sob uma vazão inicial Q (em m³/h), e esvazia completamente a piscina em 10 horas. Suponha que, após uma alteração na configuração, a bomba passe a operar com uma vazão variável dada por: Q(t) = Q (0) ∙ ekt onde k>0 é uma constante de proporcionalidade e t é o tempo em horas.
A resolução exata do tempo de esvaziamento exige a modelagem da situação com uma equação diferencial não linear do tipo separável, cuja solução depende de integrar a função vazão em relação ao tempo, considerando o volume total como:
Enunciado 4494700-1
 

Provas

Questão presente nas seguintes provas
4005836 Ano: 2025
Disciplina: Matemática Financeira
Banca: IDCAP
Orgão: PPSA
Em um prospecto de locação, como em outros projetos, é necessária uma análise econômica robusta para a sua aprovação. O Valor Presente Líquido (VPL) é um indicador de importância fundamental. Em projetos que apresentam elevada incerteza outro indicador se sobressai, o Valor Monetário Esperado (VME). O que podemos dizer destes dois indicadores?
 

Provas

Questão presente nas seguintes provas
4005814 Ano: 2025
Disciplina: Matemática Financeira
Banca: IDCAP
Orgão: PPSA
matemática financeira duas taxas de juros distintas i1 e i2 relacionadas a dois períodos também distintos n1 e n2 são taxas proporcionais se:
 

Provas

Questão presente nas seguintes provas
4005813 Ano: 2025
Disciplina: Matemática Financeira
Banca: IDCAP
Orgão: PPSA
Suponha que um especialista em petróleo está avaliando uma aplicação de R$10.000,00 pelo prazo de 8 meses à taxa de juros simples de 6% ao semestre. Os juros e o valor futuro ao montante esperados são, respectivamente:
 

Provas

Questão presente nas seguintes provas