Foram encontradas 6.381 questões.
Disciplina: Engenharia de Telecomunicações
Banca: CESPE / CEBRASPE
Orgão: TELEBRAS

A partir da ilustração precedente, que representa o circuito elétrico de uma fonte de alimentação cuja entrada é de 110 VRMS, julgue o item a seguir.
Se o diodo inferior direito da ponte retificadora apresentar defeito e o circuito passar a se comportar como circuito aberto, a ponte continuará funcionando como retificador de onda completa e, por isso, a tensão de pico na carga não se alterará enquanto a tensão de ripple diminuir.
Provas
Disciplina: Engenharia de Telecomunicações
Banca: CESPE / CEBRASPE
Orgão: TELEBRAS

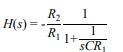
Com relação ao circuito precedente, em que ve(t) e vs(t) correspondem à entrada e à saída do circuito, respectivamente, julgue o item a seguir.
A função de transferência do circuito em questão é dada pela expressão a seguir.

Provas
Disciplina: Engenharia de Telecomunicações
Banca: CESPE / CEBRASPE
Orgão: TELEBRAS

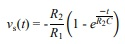
Com relação ao circuito precedente, em que ve(t) e vs(t) correspondem à entrada e à saída do circuito, respectivamente, julgue o item a seguir.
No domínio do tempo, a resposta ao degrau unitário do circuito apresentado é dada pela seguinte expressão.
![]()
Provas
Disciplina: Engenharia de Telecomunicações
Banca: CESPE / CEBRASPE
Orgão: TELEBRAS

Considerando o circuito precedente, que contém uma fonte de corrente controlada pela tensão vπ, medida entre o nó de entrada e o terra, e cuja entrada e cuja saída são denotadas por ve e vs , respectivamente, julgue o item subsequente.
![]()
Provas
Disciplina: Engenharia de Telecomunicações
Banca: CESPE / CEBRASPE
Orgão: TELEBRAS

Considerando o circuito precedente, que contém uma fonte de corrente controlada pela tensão vπ, medida entre o nó de entrada e o terra, e cuja entrada e cuja saída são denotadas por ve e vs , respectivamente, julgue o item subsequente.
Se ro ≥ 100 RC, então o ganho de tensão pode ser aproximado por vo / ve = −gmRC, com erro relativo inferior a 1%.
Provas
Disciplina: Engenharia de Telecomunicações
Banca: CESPE / CEBRASPE
Orgão: TELEBRAS

A partir do circuito precedente, em que R = RL = 1 kΩ, VE = 4 V e I1 = 1 mA, julgue o item que se segue.
O equivalente de Thévenin do circuito à esquerda dos pontos C e D, na ilustração apresentada, é composto por uma fonte de tensão de 3 V em série com uma resistência de 2 kΩ.
Provas
Disciplina: Engenharia de Telecomunicações
Banca: CESPE / CEBRASPE
Orgão: TELEBRAS

A partir do circuito precedente, em que R = RL = 1 kΩ, VE = 4 V e I1 = 1 mA, julgue o item que se segue.
No nó A, ![]()
Provas
Disciplina: Engenharia de Telecomunicações
Banca: CESPE / CEBRASPE
Orgão: TELEBRAS

A partir do circuito precedente, em que R = RL = 1 kΩ, VE = 4 V e I1 = 1 mA, julgue o item que se segue.
VS = 1 V.
Provas
Disciplina: Engenharia de Telecomunicações
Banca: CESPE / CEBRASPE
Orgão: TELEBRAS
No que diz respeito aos sistemas de comunicação, julgue o item subsequente.
Por trabalhar em elevadas frequências, a banda Ku tem como desvantagem a atenuação do sinal causada pela intensidade das chuvas, tornando-se uma preocupação no uso em países tropicais.
Provas
Disciplina: Engenharia de Telecomunicações
Banca: CESPE / CEBRASPE
Orgão: TELEBRAS
No que diz respeito aos sistemas de comunicação, julgue o item subsequente.
Uma das vantagens das redes por fibra óptica é a longa distância entre repetidoras, haja vista as características de baixa atenuação e banda passante larga das fibras.
Provas
Caderno Container