Foram encontradas 39.300 questões.
A teoria da energia de distorção máxima afi rma que o
escoamento em um material dúctil ocorre quando a energia
de distorção por unidade de volume do material é igual:
Provas
Questão presente nas seguintes provas
Um eixo maciço gira a uma velocidade angular de 120 rpm
e é utilizado para transmitir uma potência de 2500 W de um motor
ao qual está fi xado. O torque atuante na rotação do eixo é:
Provas
Questão presente nas seguintes provas
Em um determinado estado plano de tensões, as tensões
normais nos eixos x e y são, respectivamente, 60 MPa e 44 MPa,
e a tensão cisalhante é de 6 MPa. A tensão de cisalhamento
máxima associada a esse estado é de:
Provas
Questão presente nas seguintes provas
O sistema massa-mola mostrado na figura abaixo sofre
ação de uma força F = 250 N, comprimindo uma mola de massa
desprezível e constante elástica k = 4 N/mm.
Desprezando-se quaisquer forças de atrito, a deformação da mola, quando ela está totalmente comprimida, é de:
Desprezando-se quaisquer forças de atrito, a deformação da mola, quando ela está totalmente comprimida, é de:
Provas
Questão presente nas seguintes provas
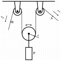
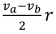
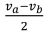
O bloco P está sendo puxado preso a uma polia de raio r que gira conforme o arranjo mostrado na fi gura abaixo.

Se os pontos A e B têm velocidades de va e vb , respectivamente, a velocidade do bloco P é:
Provas
Questão presente nas seguintes provas
Nos motores diesel, a peça localizada na linha de alta
pressão do sistema, e cujo objetivo é evitar que a
pressão atinja valores acima do recomendado, é:
Provas
Questão presente nas seguintes provas
Os sistemas de lubrificação são classificados de
acordo com a forma de distribuição do óleo pelas
diferentes partes do motor. Nesse contexto, o sistema
mais utilizado em motores estacionários,
monocilíndricos de uso agrícola, e no qual o pé da
biela apresenta um prolongamento afilado
denominado pescador, é o:
Provas
Questão presente nas seguintes provas
Na manutenção dos motores diesel, em relação à
qualidade do óleo lubrificante, a classificação API
(Instituto Americano de Petróleo) para serviços muito
pesados nos motores é:
Provas
Questão presente nas seguintes provas
São funções do óleo lubrificante nos motores diesel,
EXCETO:
Provas
Questão presente nas seguintes provas
Nos motores diesel de quatro tempos, o óleo
lubrificante é armazenado no cárter do motor. O fluxo
de óleo, através de galerias existentes no motor, é
feito:
Provas
Questão presente nas seguintes provas
Cadernos
Caderno Container