Foram encontradas 773 questões.

Provas

No que diz respeito às equações de diferenças mostradas acima e aos sistemas que elas representam, julgue os itens seguintes.
Provas

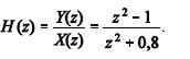
No que diz respeito às equações de diferenças mostradas acima e aos sistemas que elas representam, julgue os itens seguintes.
Provas

No que diz respeito às equações de diferenças mostradas acima e aos sistemas que elas representam, julgue os itens seguintes.
Provas

No que diz respeito às equações de diferenças mostradas acima e aos sistemas que elas representam, julgue os itens seguintes.
Provas

No que diz respeito às equações de diferenças mostradas acima e aos sistemas que elas representam, julgue os itens seguintes.
Provas
Provas
O autor de um novo sistema de refrigeração, que utiliza o R290 (propano) como fluido refrigerante, iniciou processo de pedido de patente para seu produto. A condição nominal de operação desse sistema requer temperaturas de condensação e de evaporação de 50 °C e 0 °C, respectivamente; temperatura ambiente de 30 °C; e temperatura da fonte fria de -10 °C. Nessas condições, a capacidade de refrigeração é de 350 kW, enquanto 40 kW são consumidos pelo compressor. Esse compressor apresenta uma temperatura de aspiração do gás igual a 5 °C e adota um tubo capilar como dispositivo de expansão. As perdas de carga podem ser desprezadas.
Considerando essa situação hipotética, julgue os itens que se seguem.
Provas

Considerando uma aplicação de automação industrial, conforme apresentada esquematicamente pela figura acima, julgue os itens seguintes.
Na prática, adota-se o termo setpoint para designar o valor alvo a ser mantido pelo sistema de controle e automação. Na situação apresentada na figura acima, esse valor é fornecido ao controlador, o qual irá, por sua vez, efetuar uma ação sobre a válvula de controle de vazão, compatível com o erro entre o setpoint e o nível de água no tanque.
Provas

Considerando uma aplicação de automação industrial, conforme apresentada esquematicamente pela figura acima, julgue os itens seguintes.
Para produzir o sinal de nível para o controlador, pode-se utilizar um transdutor de pressão disposto no fundo do tanque.
Provas
Caderno Container