Foram encontradas 90 questões.
Oxigênio (O2) e ozônio (O3) estão em constante processo de consumo e produção na estratosfera, como representado pelas equações químicas a seguir. As reações I e II ilustram etapas da produção de ozônio a partir de oxigênio, e a reação III mostra a restauração de oxigênio a partir de ozônio.
| Reação | !$ \Delta H !$ (kcal/mol de O2) | |
| I | O2 → 2O | -118 |
| II | 2O2 + 2O → 2 O3 | !$ \Delta H_{II} !$ |
| III | 2O3 → 3 O2 | +21 |
O !$ \Delta H_{II} !$, relacionado à reação II, pode ser calculado a partir dos dados fornecidos para as reações I e III. O valor de !$ \Delta H_{II} !$, em kcal/mol de O2 consumido, é igual a:
Provas
Oxigênio (O2) e ozônio (O3) estão em constante processo de consumo e produção na estratosfera, como representado pelas equações químicas a seguir. As reações I e II ilustram etapas da produção de ozônio a partir de oxigênio, e a reação III mostra a restauração de oxigênio a partir de ozônio.
| Reação | !$ \Delta H !$ (kcal/mol de O2) | |
| I | O2 → 2O | -118 |
| II | 2O2 + 2O → 2 O3 | !$ \Delta H_{II} !$ |
| III | 2O3 → 3 O2 | +21 |
A reação global balanceada, composta pelas etapas I e II, que representa a formação de ozônio é:
Provas
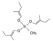
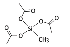
Uma das formulações para os adesivos “silicones” usados na construção civil é chamada de “silicone acético”. Essa nomenclatura é utilizada porque o componente ativo libera ácido acético durante a formação do precursor, espécie que promoverá a polimerização, como representado genericamente a seguir.

Considerando essas informações, qual dos componentes ativos a seguir faria com que a formulação fosse considerada como “silicone acético”?
Provas

A produção do vidro tem por base a modificação da estrutura cristalina do quartzo (SiO2) por meio do seu aquecimento e da adição de óxidos alcalinos, dentre eles o Na2O. Esse processo adiciona cátions sódio à estrutura do quartzo, tornando-a amorfa. Alguns vidros, como os utilizados em telas de smartphones, passam ainda por processo de troca iônica para aumentar a resistência a quedas e riscos. Para isso, o vidro é banhado em uma solução salina contendo íons potássio. Dessa forma, o potássio substitui o sódio na estrutura, sem que o volume do vidro se altere.
Com base nessas informações, é correto afirmar que os íons potássio
Provas
A escassez global de semicondutores continua a ter estranhas repercussões, sobretudo do ponto de vista geopolítico. Há um ano as indústrias lutam para se abastecer com chips eletrônicos que equipam aparelhos do dia a dia, de computadores a torradeiras, passando pelas máquinas de lavar e consoles de videogames. O episódio atual, no entanto, surge em um contexto marcado por um questionamento geral a respeito dos benefícios da globalização e do declínio da atividade industrial no Ocidente.
Evgeny Morzorov. “Devemos temer um colapso eletrônico?”. Le Monde
Diplomatique Brasil, agosto/2021. Adaptado
O texto refere-se a uma questão geopolítica contemporânea: a disputa pelos semicondutores na indústria mundial. Sobre esse assunto, indique a alternativa correta:
Provas
A pandemia da COVID-19 acendeu o alerta sobre os impactos que a rápida disseminação de enfermidades produz em um mundo cada vez mais globalizado. Além disso, ressaltou a importância das pesquisas científicas na descoberta, tratamento e controle de doenças tropicais negligenciadas, muitas delas recorrentes em diferentes países do mundo. Os mapas a seguir indicam as taxas de incidência de doenças tropicais negligenciadas (total de casos por milhão de habitantes) e o Produto Interno Bruto (PIB) per capita dos respectivos países.

Em relação à incidência de doenças tropicais negligenciadas, é correto afirmar:
Provas
Texto 1
Minha pele, Luanda
Antessala, Aruanda
Tipo T'Challa, Wakanda
Veneno Black Mamba
Bandoleiro em bando
Qué o comando dessas banda?
'Sa noite cês vão ver mais sangue
Do que Hotel Ruanda
Texto 2
Não sei onde ela tinha ido à escola, mas ela sabia ler e escrever. Saber escrever era algo perigoso se você tinha um pai exilado no Burundi. Logo começam a suspeitar que está se correspondendo com os tutsis que preparam seu retorno a Ruanda, que você é uma espiã dando informações aos que estão desse lado da fronteira e poderia facilitar a volta dos tutsis.
Esses textos foram retirados, respectivamente, da música “Pantera Negra”, de Emicida, e do livro “A mulher de pés descalços”, de Scholastique Mukasonga, e fazem referência à guerra civil em Ruanda. Sobre esse conflito, é correto afirmar:
Provas

Conforme definição da Organização Internacional do Trabalho (OIT), o trabalho de cuidado envolve dois tipos de atividades: as diretas, como alimentar um bebê ou cuidar de um doente, e as indiretas, como cozinhar ou limpar. O gráfico apresenta a desigualdade de gênero no trabalho de cuidado no mundo, expressa pela diferença entre homens e mulheres quanto ao tempo e à remuneração. A partir dos dados apresentados, é correto afirmar que as regiões com maior e menor desigualdade são, respectivamente:
Provas
Uma forma de conservação do Cerrado é a prática de queimadas controladas que simulam o ciclo natural do fogo.
Observe a imagem que retrata os efeitos visuais de uma queimada controlada em um trecho de Cerrado da Estação Ecológica de Santa Bárbara, no interior do estado de São Paulo.

Nessa área foram conduzidos experimentos com queimadas controladas, e os resultados sugerem que essa prática é benéfica para a flora, cujas plantas rebrotam rapidamente depois da passagem do fogo. Nos grupos vegetais em que as queimadas produziram mais efeitos positivos foi registrado até um discreto aumento de espécies vegetais. Antes das queimadas, os pesquisadores contabilizaram 38 espécies de gramíneas e 68 de outras ervas. Depois, esses números subiram para 44 e 74, respectivamente.
Durigan G et al. (2020), Front. For. Glob. Change, 3:13,
doi:10.3389/ffgc.2020.00013. Adaptado.
No bioma Cerrado, de acordo com a informação do texto, a prática de queimadas controladas
Provas
No dia 23 de março de 2021 o mega navio Ever Given, de 220.000 toneladas e 400 m de comprimento, encalhou no Canal de Suez no Egito em rota para o porto de Rotterdam, Holanda, ficando atravessado e preso pelas extremidades. O navio reflutuou no dia 29 do mesmo mês em razão das condições de vento e maré, além da operação promovida por rebocadores.


Com base nos dados fornecidos e em seus conhecimentos, podese atribuir o reflutuamento do Ever Given às seguintes condições:
Provas
Caderno Container