Magna Concursos

Foram encontradas 60 questões.

1898771 Ano: 2015
Disciplina: Química
Banca: IBGP
Orgão: Univaço
Provas:

O luminol pode detectar manchas de sangue mesmo depois de lavadas e muitos anos após o crime. Essa substância de fórmula molecular C8H7N3O2 que dissolvida em uma solução aquosa básica contendo peróxido de hidrogênio (H2O2), gera uma reação de quimiluminescência. A função do sangue é catalisar essa reação e, assim, surge um brilho azul intenso que indica sua presença.

Em relação ao uso do luminol nas investigações forenses, assinale V para as afirmativas verdadeiras e F para as falsas.

( ) O ferro presente na hemoglobina do sangue é capaz de abaixar a energia de ativação dessa reação de quimiluminescência.

( ) A reação entre o luminol e o peróxido de hidrogênio não aconteceria na ausência de sangue.

( ) Na presença do catalisador, o rendimento da reação é maior.

( ) A intensidade do brilho azul depende de presença de sangue.

Assinale a alternativa que apresenta a sequência CORRETA.

 

Provas

Questão presente nas seguintes provas
1898769 Ano: 2015
Disciplina: Química
Banca: IBGP
Orgão: Univaço
Provas:

O TNT (Trinitrotolueno) é um potente explosivo que sofre decomposição muito rápida, liberando gases e calor. A rápida e violenta expansão desses gases aquecidos provoca uma onda de choque capaz de causar considerável destruição.

Observe as reações de formação do TNT:

Enunciado 3121498-1

Os compostos A, B e C são respectivamente:

 

Provas

Questão presente nas seguintes provas
1898767 Ano: 2015
Disciplina: Química
Banca: IBGP
Orgão: Univaço
Provas:

Proteínas constituem um importante grupo de substâncias orgânicas presentes em todos os seres vivos e são fundamentais na estrutura, no funcionamento e na reprodução de todas as células vivas.

Em relação ao grupo das proteínas, assinale a alternativa INCORRETA.

 

Provas

Questão presente nas seguintes provas
1898766 Ano: 2015
Disciplina: Química
Banca: IBGP
Orgão: Univaço
Provas:

O pH do sangue de mamíferos é um reflexo do estado do balanço ácido-base do corpo e, em condições normais, é mantido entre 7,35 e 7,45. Pequenas flutuações do pH sanguíneo podem ser fatais.

O sistema-tampão, contido no sangue, tem a capacidade de resistir a variações de pH, quando ácidos ou bases são adicionados ou quando uma diluição ocorre.

Em relação à solução-tampão, considere as afirmações abaixo.

I. Existe um limite para as quantidades de ácidos ou de bases que podem ser adicionadas a um sistema-tampão, esse limite é conhecido como capacidade tamponante.

II. O principal sistema-tampão do sangue é o do ácido carbônico/bicarbonato (H2CO3/HCO3-).

III. Em casos de acidose sanguínea, os médicos podem administrar nos pacientes, soluções intravenosas de cloreto de amônio (NH4Cl).

IV. Solução-tampão é constituída por um ácido forte e sua base conjugada ou por uma base forte e seu ácido conjugado.

Estão CORRETAS as afirmativas.

 

Provas

Questão presente nas seguintes provas
1898764 Ano: 2015
Disciplina: Química
Banca: IBGP
Orgão: Univaço
Provas:

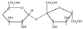
A sacarose é um açúcar comum extraído da cana de açúcar ou da beterraba.

Enunciado 3121495-1

Assinale a alternativa que indica CORRETAMENTE a quantidade máxima produzida na hidrólise ácida de 0,2mol de sacarose.

 

Provas

Questão presente nas seguintes provas
1898763 Ano: 2015
Disciplina: Química
Banca: IBGP
Orgão: Univaço
Provas:

O colesterol é o precursor bioquímico da cortisona, do estradiol e da testosterona, ele é o pai de todos os hormônios esteroidais e dos ácidos biliares do corpo.

Observe a fórmula estrutural da molécula de colesterol esquematizada abaixo:

Enunciado 3121494-1

Assinale a alternativa que informa CORRETAMENTE o número máximo de estereoisômeros que o colesterol apresenta.

 

Provas

Questão presente nas seguintes provas
1898762 Ano: 2015
Disciplina: Química
Banca: IBGP
Orgão: Univaço
Provas:

Um médico receitou o antibiótico X para uma criança de 20kg por 7 dias. A concentração do princípio ativo nesse medicamento é 10% p/v e o preconizado é administrar 90mg do princípio ativo por kg do paciente de 8h em 8h.

Sabendo que cada frasco de medicamento tem 100mL, quantos frascos desse medicamento serão necessários adquirir para todo o tratamento?

 

Provas

Questão presente nas seguintes provas
1898761 Ano: 2015
Disciplina: Química
Banca: IBGP
Orgão: Univaço
Provas:

Em 2015, completaram-se 120 anos da descoberta dos raios X pelo físico alemão Wilhelm Rontgen. Essa descoberta foi fundamental para medicina e, por ela, Rontgen recebeu um prêmio Nobel em 1901.

Em relação ao raio X e a outras radiações, assinale a alternativa INCORRETA.

 

Provas

Questão presente nas seguintes provas
1898760 Ano: 2015
Disciplina: História
Banca: IBGP
Orgão: Univaço
Provas:

Espécie de rebelião com objetivo de derrubar um presidente do Brasil e tomar o poder. Liderada pela Aliança Nacional Libertadora (ANL), foi rapidamente combatida pelas forças de segurança nacional. Foi um movimento que ganhou adeptos dentro dos batalhões, principalmente de militares de baixa patente. Os revolucionários conseguiram tomar o poder durante 3 dias dentro de estados brasileiros.

O texto refere-se a uma revolta ou rebelião ocorrida no Brasil.

Assinale a alternativa que apresenta o NOME dessa rebelião.

 

Provas

Questão presente nas seguintes provas
1898759 Ano: 2015
Disciplina: História
Banca: IBGP
Orgão: Univaço
Provas:

Na órbita dos Estados Unidos.

Enunciado 3121525-1

Fonte: Capa de lançamento do papagaio. (Planeta Gibi: disponível http://www.planetagibi.net/2011/01/65-anos-bem-contados-1961-1970.html, Acesso em: 04 de out. de2015).

Contrariando o discurso nacionalista, no Estado Novo, a influência cultural dos Estados Unidos se tornou mais expressiva. Foi nesse período que os Estúdios Disney criaram o personagem brasileiro Zé Carioca. Também, nesse período, Carmem Miranda se transformou em uma artista famosa, cantando sambas, chorinhos, rumbas e boleros em filmes de Hollywood. Tratava-se da “política de boa vizinhança” do governo Roosevelt, que pretendia estimular o bom relacionamento entre o Brasil e os Estados Unidos.

Com o objetivo de difundir a ideologia do Estado Novo junto às camadas populares, foi criado o Departamento de Imprensa e Propaganda (DIP). Esse departamento tinha a tarefa de, EXCETO:

 

Provas

Questão presente nas seguintes provas