Foram encontradas 183 questões.
Rafael compromete 20% do seu rendimento mensal com cartão de crédito. Se no mês de março ele recebeu
um salário de R$ 2.400,00, pode-se afirmar que a fatura do seu cartão de crédito foi de:
Provas
Questão presente nas seguintes provas
Lucas tinha em sua conta bancária um saldo de negativo R$ 440,00 reais. Depositou R$ 760,00 e pagou
no cartão de débito as seguintes contas: internet R$ 80,00 e combustível R$ 180,00. Depois de realizadas
essas operações, qual é o saldo bancário na conta de Lucas?
Provas
Questão presente nas seguintes provas
Os funcionários do setor de engarrafamento de refringentes de uma fábrica, trabalhando 8 horas por dia,
engarrafam 480 unidades. Qual é o tempo necessário para que a mesma quantidade de funcionários
engarrafe 360 unidades de refrigerantes?
Provas
Questão presente nas seguintes provas
Além de proporcionar oportunidades educativas, estudos científicos demonstram que visitas aos zoológicos
são capazes de intensificar uma conexão dos visitantes com a natureza. Sara, uma fotógrafa profissional,
ao visitar o parque aquático de um zoológico, tem a missão de fotografar um único animal do parque. Se
no parque há 3 patos, 2 jacarés e 5 garças, qual é a probabilidade de que um pato ou uma garça sejam os
escolhidos?
Provas
Questão presente nas seguintes provas
Um bloco de concreto tem o formato de paralelepípedo de 60 cm de largura, 80 cm de comprimento e 110
cm de altura. Se dois terços desse sólido ficam submersos em água, podemos afirmar que o volume da
parte emersa é igual a:
Provas
Questão presente nas seguintes provas
Um brinquedo pula-pula (cama elástica), muito querido por crianças, tem o formato de uma circunferênciade diâmetro de 3 metros. Podemos afirmar que a área de lona necessária para uma cama elástica com essamedida é de: (considere π = 3,14)
Provas
Questão presente nas seguintes provas
Na escolha de uma senha de segurança de uma conta bancária, formada por QUATRO dígitos distintos, é
possível escolher entre os números 2, 3, 4, 5, 6 e 7. Qual é o número possível de senhas formadas com
quatro algarismos distintos?
Provas
Questão presente nas seguintes provas
Sabe-se que uma Progressão consiste em uma sequência que segue uma lei de formação. A quantidade de
ovos botados pelas galinhas de uma granja em uma semana segue uma progressão geométrica. Na segunda-feira botaram 8 ovos na terça, 24; na quarta, 72, e assim por diante. Pode-se se afirmar que o número de
ovos que as galinhas botaram no sábado é de:
Provas
Questão presente nas seguintes provas
Considere o polinômio P(x) = x2 − 7/2 x + 3/2 , cujas raízes são p e k.
Os valores de p e k são, respectivamente:
Provas
Questão presente nas seguintes provas
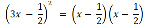
Das alternativas abaixo, qual apresenta o valor correto da operação?

Provas
Questão presente nas seguintes provas
Cadernos
Caderno Container