Foram encontradas 665 questões.
Considere os seguintes álcoois: metanol (CH3 OH), etanol (CH3 CH2 OH), propan -1 - ol (CH3 CH2 CH2 OH) e butan -1 - ol (CH3 CH2 CH2 CH2 OH).
Comparando-se algumas propriedades desses álcoois, verifica-se que o(a)
Provas
- Química InorgânicaSoluções e Substâncias InorgânicasSoluções: características, tipos de concentração, diluição, mistura, titulação e soluções coloidais
Uma massa de 0,0575 g de um sal foi medida em balança, foi dissolvida em água e transferida para um balão volumétrico, onde o volume final foi ajustado para 25,00 mL.
Considerando as devidas precisões dos aparatos e respeitando os algarismos significativos, a concentração, em g L -1 , da solução é
Provas
O íon chumbo pode ser determinado por gravimetria, na forma de cromato de chumbo (PbCrO4(s)), usando agente de precipitação homogênea. Isso é alcançado pela adição de excesso de cloreto de cromo (III), que produz o íon cromato ao ser oxidado pelo bromato (BrO3 -), também adicionado em excesso. A sequência resumida de reações é indicada abaixo:

Uma alíquota de 60,000 g de resíduo foi totalmente dissolvido e submetido ao procedimento analítico gravimétrico em questão. A massa de 12,542 g de precipitado (após secagem até massa constante) foi obtida.
A percentagem (m/m) de chumbo presente na amostra foi de

Provas
- Química OrgânicaFunções Oxigenadas: Álcool, Fenol e Enol
- Química OrgânicaFunções Oxigenadas: Cetona, Aldeído, Éter, Éster, Ácido Carboxílico etc.
- Química OrgânicaHidrocarbonetos
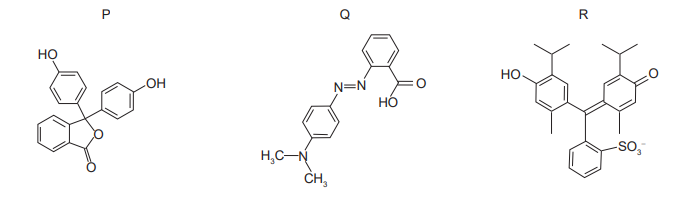
As substâncias orgânicas abaixo, quando em soluções aquosas, são sensíveis à condição ácida do meio, produzindo mudanças que afetam a capacidade de absorver radiação no espectro eletromagnético na região do visível. Por conta disso, são usadas como indicadores ácido-base, sendo eles: (P) fenolftaleína, (Q) vermelho de metila e (R) azul de bromotimol.

Sobre a funções orgânicas presentes nessas substâncias, conclui-se que
Provas
Um volume de 1,00 mL de um adoçante líquido à base de sacarina sódica (representada por SacNa) foi colocado num Erlenmeyer, onde também se adicionou 100 mL de água pura. A sacarina sódica reagiu exatamente com 22,00 mL de uma solução padronizada de AgNO3 (0,500 mol L-1 ) para precipitar quantitativamente a sacarina, conforme equação abaixo. No resultado, já se considerou a correção do branco.
![]()
A concentração de sacarina, em g mL-1
, no adoçante, é
mais próxima de
Provas
O ácido monoprótico, representado por HX, é misturado com excesso de Ba(OH)2 , reagindo segundo a equação abaixo.
![]()
Foram obtidos 15,00 g do produto BaX2 que foram quantitativamente reagidos com exatamente 59,00 mL de uma solução aquosa de ácido sulfúrico 1,00 mol L-1 , como mostrado na equação abaixo.
![]()
A partir dos dados do experimento, calculou-se a massa
molar de HX, em g mol -1
, e concluiu-se que era de 
Provas
Provas
Provas
Além disso, a RM revelou achados de uma doença com associação frequente, que é a(o)
Provas
Esses achados podem estar associados com
Provas
Caderno Container