Foram encontradas 3.180 questões.
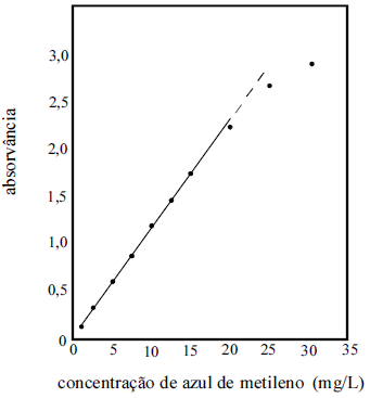
A concentração de azul de metileno em uma solução na solução resultante foi determinada por espectroscopia de absorção nas regiões do ultravioleta e do visível (UV-VIS). A figura abaixo apresenta a curva de calibração obtida para soluções de azul de metileno de concentrações conhecidas. As medidas de absorção foram realizadas utilizando-se radiação com comprimento de onda de 630 nm e 1 cm de caminho óptico da radiação através da amostra.

Considerando a técnica utilizada e as informações apresentadas, julgue o item que se segue.
A lei de Beer-Lambert é obedecida para soluções de azul de metileno com concentrações na faixa entre 0 mg/L e 30 mg/L.
Provas
A concentração de azul de metileno em uma solução na solução resultante foi determinada por espectroscopia de absorção nas regiões do ultravioleta e do visível (UV-VIS). A figura abaixo apresenta a curva de calibração obtida para soluções de azul de metileno de concentrações conhecidas. As medidas de absorção foram realizadas utilizando-se radiação com comprimento de onda de 630 nm e 1 cm de caminho óptico da radiação através da amostra.

Considerando a técnica utilizada e as informações apresentadas, julgue o item que se segue.
O comprimento de onda escolhido para as medidas de absorção influencia os valores de absorvância medidos, mas não afeta os cálculos de absortividade.
Provas
A concentração de azul de metileno em uma solução na solução resultante foi determinada por espectroscopia de absorção nas regiões do ultravioleta e do visível (UV-VIS). A figura abaixo apresenta a curva de calibração obtida para soluções de azul de metileno de concentrações conhecidas. As medidas de absorção foram realizadas utilizando-se radiação com comprimento de onda de 630 nm e 1 cm de caminho óptico da radiação através da amostra.

Considerando a técnica utilizada e as informações apresentadas, julgue o item que se segue.
A absortividade do azul de metileno, conforme a curva de calibração apresentada, é maior que 80 L · g-1 · cm-1.
Provas

A técnica de difração de raios X é amplamente empregada na análise estrutural de materiais grafíticos. A partir do pico 002 presente nos difratogramas desses materiais são determinadas as distâncias entre os planos hexagonais de carbono nos cristalitos de grafite e a altura média de empilhamento desses planos. A figura acima apresenta os difratogramas de raios X para a região correspondente ao pico 002, obtidos para dois materiais grafíticos com diferentes graus de ordenamento.
Considerando o texto e a figura, julgue o próximo item.
A distância entre os planos hexagonais de carbono (d002) nos cristalitos de grafite pode ser calculada com auxílio da Lei de Sherrer, d002=\( \dfrac{k\lambda}{\beta cos \theta} \) , em que K representa uma constante característica dos materiais grafíticos, 8, o comprimento de onda da radiação incidente, \( \beta \), a largura a meia altura do pico de difração, e \( \theta \), o ângulo de difração.
Provas

A técnica de difração de raios X é amplamente empregada na análise estrutural de materiais grafíticos. A partir do pico 002 presente nos difratogramas desses materiais são determinadas as distâncias entre os planos hexagonais de carbono nos cristalitos de grafite e a altura média de empilhamento desses planos. A figura acima apresenta os difratogramas de raios X para a região correspondente ao pico 002, obtidos para dois materiais grafíticos com diferentes graus de ordenamento.
Considerando o texto e a figura, julgue o próximo item.
O material B apresenta altura média de empilhamento dos planos hexagonais de carbono maior que o material A.
Provas

A figura acima apresenta a curva DSC obtida para uma amostra de polietileno tereftalato (PET) semi-cristalino. Essa curva foi utilizada para o cálculo da entalpia de fusão do polímero. Nesse sentido, determinou-se uma constante de calibração k por meio da curva DSC de um composto padrão cuja entalpia de fusão, \( \Delta \)H', é conhecida. A constante k foi calculada a partir da expressão \( k=\dfrac{\Delta H'm'}{A'X'Y'} \) , em que m' é a massa do composto padrão utilizada na análise, A', a área do pico correspondente à fusão na curva DSC obtida (em cm2), X', o fator de sensibilidade para o eixo das abscissas (em ºC.cm-1), e Y', o fator de sensibilidade para o eixo das ordenadas (em J.s-1.cm-1). A curva DSC do composto padrão foi obtida empregando-se condições de análise (atmosfera e razão de aquecimento) idênticas àquelas empregadas para a obtenção da curva para o polietileno tereftalato.
A partir do texto e da figura apresentada, julgue o item seguinte.
A entalpia de fusão do politereftalato de etileno (\( \Delta \)H) pode ser determinada por meio da expressão \( \Delta H=\dfrac{AXYk}{m} \), em que m representa a massa de politereftalato de etileno utilizada na análise, A, a área do pico correspondente à fusão na curva DSC do politereftalato de etileno (em cm2), X, o fator de sensibilidade para o eixo das abscissas (em ºC A cm-1), e Y, o fator de sensibilidade para o eixo das ordenadas (em J · s-1 · cm-1).
Provas

A figura acima apresenta a curva DSC obtida para uma amostra de polietileno tereftalato (PET) semi-cristalino. Essa curva foi utilizada para o cálculo da entalpia de fusão do polímero. Nesse sentido, determinou-se uma constante de calibração k por meio da curva DSC de um composto padrão cuja entalpia de fusão, \( \Delta \)H', é conhecida. A constante k foi calculada a partir da expressão \( k=\dfrac{\Delta H'm'}{A'X'Y'} \) , em que m' é a massa do composto padrão utilizada na análise, A', a área do pico correspondente à fusão na curva DSC obtida (em cm2), X', o fator de sensibilidade para o eixo das abscissas (em ºC.cm-1), e Y', o fator de sensibilidade para o eixo das ordenadas (em J.s-1.cm-1). A curva DSC do composto padrão foi obtida empregando-se condições de análise (atmosfera e razão de aquecimento) idênticas àquelas empregadas para a obtenção da curva para o polietileno tereftalato.
A partir do texto e da figura apresentada, julgue o item seguinte.
Nessa curva, o fenômeno verificado entre 70 ºC e 90 ºC corresponde à transição vítrea da região amorfa do polímero.
Provas
A reação de alcinetos de sódio com haletos de alquila pode seguir dois caminhos diferentes, dependendo da estrutura do haleto de alquila, conforme evidencia o esquema abaixo.

Com relação a essa reação, julgue o item a seguir.
O caminho II será favorecido se o haleto de alquila for primário.
Provas
A reação de alcinetos de sódio com haletos de alquila pode seguir dois caminhos diferentes, dependendo da estrutura do haleto de alquila, conforme evidencia o esquema abaixo.

Com relação a essa reação, julgue o item a seguir.
O caminho I envolve uma reação de substituição nucleofílica bimolecular.
Provas
Grande parte das reações de adição a alcenos, de suma importância em síntese orgânica, são regiosseletivas. Exemplos dessas reações são a reação do 2-metil-1-propeno com Br2, em meio aquoso, e a reação de adição de HBr ao 1,3-butadieno. Nesta última, obtém-se uma mistura de 3-bromo-1-buteno e 1-bromo-2-buteno, conforme a equação abaixo. A predominância de um ou outro produto depende da temperatura de reação.

Com relação aos compostos e às reações citados no texto acima, julgue o item subsequente.
Na reação entre 1,3-butadieno e HBr, temperaturas elevadas favorecem a formação de 1-bromo-2-buteno e temperaturas reduzidas, a formação de 3-bromo-1-buteno.
Provas
Caderno Container