Foram encontradas 200 questões.
Alguns procedimentos executivos auxiliam na redução de possibilidades de patologias futuras. Um item
essencial é a execução de pingadeiras, pois são elementos projetados para afastar a água de chuva da
superfície das fachadas, evitando seu escoamento direto sobre alvenarias e revestimentos.
A ausência de pingadeiras nas platibandas de uma edificação pode ocasionar, principalmente:
A ausência de pingadeiras nas platibandas de uma edificação pode ocasionar, principalmente:
Provas
Questão presente nas seguintes provas
O processo da construção civil demanda um conjunto de atividades que são provisórias, sendo uma delas
o escoramento das estruturas de concreto armado.
Sobre esse tema, está correto o que se afirma em:
Sobre esse tema, está correto o que se afirma em:
Provas
Questão presente nas seguintes provas
De acordo com a NBR 6118 (ABNT, 2023), no projeto estrutural devem ser respeitados limites mínimos
para a espessura de lajes maciças em concreto armado.
De acordo com essa norma, qual é a espessura mínima recomendada para lajes maciças em balanço?
De acordo com essa norma, qual é a espessura mínima recomendada para lajes maciças em balanço?
Provas
Questão presente nas seguintes provas
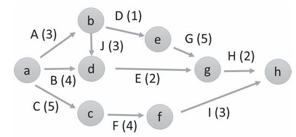
A equipe de engenharia planejou uma obra de reforma dos prédios de laboratórios do câmpus Alfenas, na
Sede, sendo necessário definir a duração dessa obra para o planejamento pedagógico. Para isso, o
engenheiro responsável elaborou o gráfico PERT-CPM, conforme figura a seguir, no qual as atividades
estão representadas por letras maiúsculas, as suas durações em dias estão entre parênteses, e os marcos
estão em letras minúsculas.
Figura 1 – Rede PERT-CPM da obra (Fonte: Departamento de Engenharia da UNIFAL-MG).
Conforme a rede PERT-CPM apresentada, as atividades que compõem o caminho crítico são:
Figura 1 – Rede PERT-CPM da obra (Fonte: Departamento de Engenharia da UNIFAL-MG). Conforme a rede PERT-CPM apresentada, as atividades que compõem o caminho crítico são:
Provas
Questão presente nas seguintes provas
O sistema hidrossanitário de esgoto possui, além dos semilíquidos que serão despejados em rede pública
(ou fossas sépticas), gases provenientes dos fluidos. Por isso, também deve possuir um sistema de
ventilação para evitar problemas de funcionamento e mau cheiro na rede interna.
Sobre o sistema de ventilação, é adequado afirmar que:
Sobre o sistema de ventilação, é adequado afirmar que:
Provas
Questão presente nas seguintes provas
Para definir a forma de transferência das ações da superestrutura para a infraestrutura, é necessário
realizar o reconhecimento do solo. Por isso, a NBR 6122 (ABNT, 2022) determina que deve ocorrer a
investigação geotécnica, estabelecendo a realização, no mínimo, de:
Provas
Questão presente nas seguintes provas
Ao elaborar um projeto de um edifício educacional para o câmpus Varginha, com 3 andares, notou-se que,
no lançamento estrutural, os vãos das vigas serão superiores a 6,50 m, em sua maioria.
Assim, considerando as premissas estabelecidas pela NBR 6118 (ABNT, 2023), as vigas que serão superiores a 60 cm de altura necessitam de:
Assim, considerando as premissas estabelecidas pela NBR 6118 (ABNT, 2023), as vigas que serão superiores a 60 cm de altura necessitam de:
Provas
Questão presente nas seguintes provas
Para realizar uma obra no câmpus Poços de Caldas da UNIFAL-MG, devido ao relevo do local, será
necessária a execução de um muro de arrimo. Dessa forma, a equipe de engenharia utilizará a
composição SINAPI do serviço de armação de cortina de contenção em concreto armado, apresentada
nas Tabelas 1 e 2 a seguir.
Tabela 1 – Composição da base SINAPI para realização de armação de cortina de contenção.
Fonte: Adaptado de SINAPI.
Tabela 2 – Composição da base SINAPI para realização de corte e dobra de aço CA-50.
Fonte: Adaptado de SINAPI.
Para a realização desse projeto, há uma estimativa de consumo para a armação de cortina de contenção de aço CA-50, diâmetro de 6,3 mm, de 300 kg.
Considerando a produtividade apresentada pela SINAPI, quantas horas de trabalho (h) do ajudante de armador e do armador serão necessárias para a execução da armação de cortina de contenção em concreto armado?
Tabela 1 – Composição da base SINAPI para realização de armação de cortina de contenção.
Fonte: Adaptado de SINAPI. Tabela 2 – Composição da base SINAPI para realização de corte e dobra de aço CA-50.
Fonte: Adaptado de SINAPI. Para a realização desse projeto, há uma estimativa de consumo para a armação de cortina de contenção de aço CA-50, diâmetro de 6,3 mm, de 300 kg.
Considerando a produtividade apresentada pela SINAPI, quantas horas de trabalho (h) do ajudante de armador e do armador serão necessárias para a execução da armação de cortina de contenção em concreto armado?
Provas
Questão presente nas seguintes provas
Com o desenvolvimento da modelagem da informação da construção (BIM), é necessário que os projetos
estejam com dados durante a sua concepção, além da sua representação gráfica e ainda que seja
realizada a compatibilização dos projetos de diferentes áreas. Com isso, diferentes softwares foram
desenvolvidos e melhorados para o trabalho em BIM.
Considerando as diferentes opções de software, observa-se, corretamente, que:
Considerando as diferentes opções de software, observa-se, corretamente, que:
Provas
Questão presente nas seguintes provas
No orçamento de uma obra pública, a etapa de mobilização e desmobilização tem papel fundamental para
a execução contratual, visto que:
Provas
Questão presente nas seguintes provas
Cadernos
Caderno Container