Foram encontradas 200 questões.
Como Engenheiro Mecânico de uma universidade federal, a análise de escoamentos de fluidos é essencial
para otimizar sistemas de laboratórios e infraestruturas. A Equação de Bernoulli é uma ferramenta
poderosa, aplicada em condições ideais de escoamento permanente, incompressível e invíscido (sem
atrito), ao longo de uma linha de corrente. Ela estabelece que a soma da pressão estática, da energia
cinética por unidade de volume e da energia potencial gravitacional por unidade de volume permanece
constante.
A formulação da Equação de Bernoulli é expressa por:
Onde:
P é a pressão estática do fluido (energia de pressão por unidade de volume).
é a energia cinética por unidade de volume do fluido, onde p é velocidade do fluido e v é a densidade do fluido.
pgh é a é a energia potencial gravitacional por unidade de volume do fluido, onde g é a aceleração da gravidade e h é a altura do fluido em relação a um ponto de referência.
Considerando um escoamento que atende rigorosamente a essas condições ideais em um duto horizontal que sofre uma redução gradual de sua seção transversal, o que se pode afirmar corretamente sobre a pressão estática do fluido à medida que ele passa para a seção mais estreita?
Onde:
P é a pressão estática do fluido (energia de pressão por unidade de volume).
pgh é a é a energia potencial gravitacional por unidade de volume do fluido, onde g é a aceleração da gravidade e h é a altura do fluido em relação a um ponto de referência.
Considerando um escoamento que atende rigorosamente a essas condições ideais em um duto horizontal que sofre uma redução gradual de sua seção transversal, o que se pode afirmar corretamente sobre a pressão estática do fluido à medida que ele passa para a seção mais estreita?
Provas
Questão presente nas seguintes provas
No contexto da prestação de consultoria técnica para um projeto de colaboração com o Instituto de Física
da universidade, o Engenheiro Mecânico é encarregado de avaliar a eficiência térmica de dispositivos
embarcados em um satélite experimental desenvolvido para fins acadêmicos.
Considerando que o satélite operará no espaço exterior, caracterizado pela ausência de atmosfera e de um meio material significativo para a troca de energia térmica, qual é o único mecanismo físico primário pelo qual o calor gerado internamente pode ser efetivamente dissipado para o ambiente externo, exigindo, portanto, atenção especial no projeto das superfícies do satélite?
Considerando que o satélite operará no espaço exterior, caracterizado pela ausência de atmosfera e de um meio material significativo para a troca de energia térmica, qual é o único mecanismo físico primário pelo qual o calor gerado internamente pode ser efetivamente dissipado para o ambiente externo, exigindo, portanto, atenção especial no projeto das superfícies do satélite?
Provas
Questão presente nas seguintes provas
Um engenheiro está projetando um sistema de refrigeração para um laboratório de pesquisa que requer
controle preciso de temperatura. Para otimizar o desempenho do ciclo de refrigeração, ele precisa
compreender as transformações de energia envolvidas.
Em um ciclo ideal de refrigeração por compressão de vapor, qual a descrição correta da principal função do compressor e sua relação com a Primeira Lei da Termodinâmica?
Em um ciclo ideal de refrigeração por compressão de vapor, qual a descrição correta da principal função do compressor e sua relação com a Primeira Lei da Termodinâmica?
Provas
Questão presente nas seguintes provas
Em um projeto de transmissão de potência para um protótipo de veículo de pesquisa em um laboratório de
Engenharia Mecânica de uma universidade federal, um Engenheiro Mecânico está analisando um eixo
cilíndrico maciço de aço. O eixo está submetido simultaneamente a uma carga axial de tração e a um
torque de torção.
Para garantir a integridade do eixo, o engenheiro precisa aplicar um critério de falha de escoamento para tensões combinadas. O critério de Von Mises é o mais adequado para o material (aço), que é dúctil.
Conceitualmente, qual é a principal finalidade da aplicação do critério de Von Mises nesse contexto?
Para garantir a integridade do eixo, o engenheiro precisa aplicar um critério de falha de escoamento para tensões combinadas. O critério de Von Mises é o mais adequado para o material (aço), que é dúctil.
Conceitualmente, qual é a principal finalidade da aplicação do critério de Von Mises nesse contexto?
Provas
Questão presente nas seguintes provas
Em um projeto de pesquisa de ponta para otimizar o desempenho de materiais compósitos em condições
extremas, um Engenheiro Mecânico de uma universidade federal está investigando as implicações da
Anisotropia nas propriedades mecânicas. Ao comparar o comportamento de uma amostra de material
isotrópico com o de uma amostra de material anisotrópico sob carregamentos idênticos, ambos em regime
elástico, qual será a principal diferença no comportamento elástico que o engenheiro esperaria encontrar
entre esses dois materiais?
Provas
Questão presente nas seguintes provas
Durante o desenvolvimento de um novo processo de fabricação para componentes críticos de motores à
combustão interna em uma universidade federal, um Engenheiro Mecânico é responsável por selecionar o
tratamento térmico mais adequado para uma liga de aço-carbono hipoeutetoide, visando propriedades
como tenacidade e estabilidade dimensional. Para isso, a peça será aquecida até a região austenítica e,
em seguida, resfriada lentamente ao ar.
Considerando os mecanismos de transformação de fase em aços-carbono hipoeutetoides, qual é a principal razão para essa escolha de resfriamento, e qual microestrutura é predominantemente formada?
Considerando os mecanismos de transformação de fase em aços-carbono hipoeutetoides, qual é a principal razão para essa escolha de resfriamento, e qual microestrutura é predominantemente formada?
Provas
Questão presente nas seguintes provas
Durante a manutenção de um equipamento de centrifugação de partículas utilizado em experimentos de
separação térmica em um laboratório de engenharia de materiais de uma universidade federal, um
Engenheiro Mecânico foi designado para avaliar os esforços dinâmicos atuantes no tambor rotativo, a fim
de verificar a integridade das fixações internas. O tambor possui formato cilíndrico com raio interno inicial r1 = 0,20 m e o raio externo r2 = 0,36 m.
Durante os testes, o tambor gira com velocidade angular constante de
= 10rad/s. O engenheiro deseja
estimar o incremento da aceleração centrípeta que atua em partículas que migram do centro do tambor até
a extremidade durante a rotação.
Utilize a seguinte equação da aceleração centrípeta:
Com base nessas informações, qual é o aumento percentual aproximado da aceleração centrípeta sofrida pela partícula ao migrar de r1 até r2?
Durante os testes, o tambor gira com velocidade angular constante de
Utilize a seguinte equação da aceleração centrípeta:
Com base nessas informações, qual é o aumento percentual aproximado da aceleração centrípeta sofrida pela partícula ao migrar de r1 até r2?
Provas
Questão presente nas seguintes provas
Em uma licitação para a instalação de um sistema de climatização em um edifício público, a equipe de
orçamento levantou que a instalação de um duto metálico de 1 m² exige:
• 2,5 h de trabalho de um mecânico montador (R$ 28,50/h),
• 1,2 m² de chapa galvanizada (R$ 58,00/m²),
Considerando que a composição do custo unitário deve seguir a metodologia indicada pelo TCU (2014), qual é o custo direto unitário para a instalação de 1 m² do duto?
• 2,5 h de trabalho de um mecânico montador (R$ 28,50/h),
• 1,2 m² de chapa galvanizada (R$ 58,00/m²),
• Consumíveis diversos estimados em 5% do valor da chapa.
Considerando que a composição do custo unitário deve seguir a metodologia indicada pelo TCU (2014), qual é o custo direto unitário para a instalação de 1 m² do duto?
Provas
Questão presente nas seguintes provas
No planejamento e na otimização de sistemas de ventilação e climatização em uma universidade federal,
um Engenheiro Mecânico está encarregado de aprimorar o projeto de um duto retilíneo para minimizar as
perdas de carga distribuídas do escoamento de ar. O objetivo é identificar a intervenção que traria a
redução mais significativa nas perdas de energia.
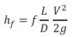
Para essa análise, a equipe utiliza a Equação de Darcy-Weisbach para perdas de carga distribuídas:
Onde:
hf é a perda de carga (em termos de altura de coluna de fluido).
f é o fator de atrito de Darcy, que depende do número de Reynolds e da rugosidade relativa (e/D)
L é o comprimento do duto.
D é o diâmetro hidráulico do duto.
V é a velocidade média do fluido.
g é a aceleração da gravidade.
Considerando que cada intervenção é analisada separadamente, com as demais variáveis fixas, qual ação traria a redução mais significativa em hf (perdas de carga distribuídas)?
Para essa análise, a equipe utiliza a Equação de Darcy-Weisbach para perdas de carga distribuídas:
Onde:
hf é a perda de carga (em termos de altura de coluna de fluido).
f é o fator de atrito de Darcy, que depende do número de Reynolds e da rugosidade relativa (e/D)
L é o comprimento do duto.
D é o diâmetro hidráulico do duto.
V é a velocidade média do fluido.
g é a aceleração da gravidade.
Considerando que cada intervenção é analisada separadamente, com as demais variáveis fixas, qual ação traria a redução mais significativa em hf (perdas de carga distribuídas)?
Provas
Questão presente nas seguintes provas
Em um projeto de bancada de testes de alta precisão para um laboratório de Engenharia Mecânica de
uma universidade federal, um Engenheiro Mecânico realiza a análise de equilíbrio estático de uma
estrutura rígida submetida a forças externas e momentos concentrados, aplicados por dispositivos
experimentais fixados à bancada.
Considerando que a estrutura deve permanecer completamente imóvel, sem deslocamento nem rotação, e que o sistema pode ser modelado como um corpo rígido plano (2D), qual condição é correta e suficiente para garantir o equilíbrio estático completo?
Considerando que a estrutura deve permanecer completamente imóvel, sem deslocamento nem rotação, e que o sistema pode ser modelado como um corpo rígido plano (2D), qual condição é correta e suficiente para garantir o equilíbrio estático completo?
Provas
Questão presente nas seguintes provas
Cadernos
Caderno Container