Foram encontradas 40 questões.
Com relação à goma carragena:
I - O aumento nos níveis de éter sulfato implica diminuição da força de geleificação.
II - A solução de carragena é bastante estável em pH ácido.
III - O aumento do pH causa a hidrólise do polímero de carragena.
IV - O pH inferior a 4,0 não altera a estabilidade do gel depois de formado.
Está(ão) correta(s)
Provas
Analise as afirmativas que seguem e assinale a alternativa que representa a sequência correta.
( ) Bilirrubina aumentada no soro e urina livre de bilirrubina são achados característicos da icterícia fisiológica do recém-nascido.
( ) A maior parte do colesterol sanguíneo é encontrada nas beta-lipoproteínas.
( ) O pH não exerce influência sobre a precipitação de cristais e sobre a formação de cálculos renais.
( ) A avaliação do controle glicêmico de um paciente diabético sobre um período de 2 a 3 semanas pode ser verificada pela determinação da frutosamina.
( ) Indivíduos cuja alimentação é baseada em carboidratos e proteínas, tendem a apresentar reação positiva para cetona na fita reagente.
A sequência correta é
Provas
Ao receber alta de um hospital, um paciente pode ter sua medicação parenteral trocada por outras formas farmacêuticas de uso oral ou tópico para autocuidados domiciliares. Neste caso, considerando somente a substituição da via de administração pode-se inferir que
Provas
Levando em consideração os conceitos e critérios diagnósticos das infecções hospitalares e das infecções comunitárias, assinale, 1 ou 2, nas respectivas afirmativas:
| 1. infecções hospitalares | ( ) infecções de recém-nascidos associadas com bolsa rota superior a 24 |
| 2. infecções comunitárias | ( ) aquelas constatadas ou em incubação no ato da admissão do paciente, |
| ( ) aquelas adquiridas após a admissão do paciente e que se manifestem | |
| ( ) as infecções em recém-nascidos cuja aquisição por via transplacentária é | |
| ( ) toda manifestação clínica de infecção que se manifesta a partir de 72 |
A sequência correta é
Provas
Assinale verdadeira (V) ou falsa (F) de acordo com a Resolução – RE ANVISA 899 /2003, em cada uma das proposições a seguir.
( ) Os principais parâmetros de validação de um método analítico são: especificidade, linearidade, precisão, exatidão, robustez, limite de detecção e quantificação.
( ) A especificidade e a seletividade devem ser realizadas inclusive para as análises qualitativas (testes de identificação).
( ) Nos ensaios de dissolução, a precisão é o único parâmetro que é sempre exigido.
( ) Os métodos analíticos espectrofotométricos podem demonstrar robutez através da variação do pH das soluções.
( ) Os métodos bioanalíticos, quando utilizados em estudos de biodisponibilide e/ou bioequivalência, não seguem essa resolução.
A sequência correta é
Provas
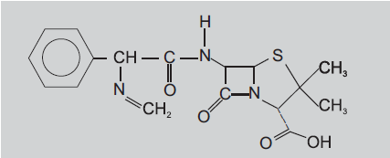
O composto foi obtido por modificação molecular, sendo um derivado de penicilina com espectro de ação estendido e administração por via oral. Observe as características da cadeia lateral do anel beta-lactâmico e assinale a alternativa correta.

Provas
A especificação para teor da matéria-prima metildopa é de 98% a 102%em base anidra. Considerando os dados:
| Massa da matéria-prima: 200 mg |
| Umidade : 10% |
| Titulante: Ácido perclórico: 0,1N |
| Volume gasto de titulante: 8,5 mL |
| Cada mL de ácido perclórico 0,1 N é |
Ao determinar o teor desse lote, pode-se concluir:
Provas
Analise as afirmativas sobre o teste de susceptibilidade in vitro e assinale a alternativa correta.
Provas
De acordo com a RDC 84/02 da ANVISA/MS, entre os medicamentos que NÃO serão aceitos para registro como medicamentos genéricos pelo Ministério da Saúde, encontram-se:
I - imunoterápicos
II - antibióticos
III - antiácidos com antifiséticos
IV - derivados do plasma e sangue humanos
V- analgésicos não narcóticos
Estão corretas
Provas
Paciente do sexo feminino (70 anos) após retirada de carcinoma hepático seguido de quimioterapia e radioterapia, em consulta médica, queixou-se de disúria e urgência de micção. Após exames clínico-laboratoriais foi confirmado diagnóstico de cistite fúngica, sendo isolada na cultura de urina, Candida sp.
Considerando os antifúngicos de uso venoso, assinale a melhor opção para o tratamento da candidíase dessa paciente.
Provas
Caderno Container