Foram encontradas 40 questões.
A validação de métodos analíticos diz respeito a um conjunto de práticas que conduzem a resultados confiáveis e adequados em relação à qualidade pretendida, assegurando que as características de desempenho do método atendem aos requisitos para as operações analíticas pretendidas. A respeito da validação são feitas as afirmativas abaixo:
I) Limite de detecção, limite de quantificação, faixa linear de resposta, precisão, exatidão, especificidade, sensibilidade e robustez são alguns dos fatores que devem ser avaliados na validação de um método e são simples de serem determinados através da análise única de uma curva analítica do analito de interesse, preparada em solução aquosa;
II) Em matrizes ambientais, a determinação do efeito matriz é um fator determinado através de métodos de calibração externa, porém de pouca importância na validação de um método;
III) Em processos que envolvem etapas de concentração da amostra, sempre que possível, um padrão certificado deve ser empregado para validar o método, incluindo as etapas de preparo da amostra.
Está(ão) CORRETA(s):
Provas
Questão presente nas seguintes provas
Vista cansada
Otto Lara Resende
Acho que foi o Hemingway quem disse que olhava cada coisa à sua volta como se a visse pela última vez. Pela última ou pela primeira vez? Pela primeira vez foi outro escritor quem disse. Essa ideia de olhar pela última vez tem algo de deprimente. Olhar de despedida, de quem não crê que a vida continua, não admira que o Hemingway tenha acabado como acabou.
Se eu morrer, morre comigo um certo modo de ver, disse o poeta. Um poeta é só isto: um certo modo de ver. O diabo é que, de tanto ver, a gente banaliza o olhar. Vê não-vendo. Experimente ver pela primeira vez o que você vê todo dia, sem ver. Parece fácil, mas não é. O que nos cerca, o que nos é familiar, já não desperta curiosidade. O campo visual da nossa rotina é como um vazio.
Você sai todo dia, por exemplo, pela mesma porta. Se alguém lhe perguntar o que é que você vê no seu caminho, você não sabe. De tanto ver, você não vê. Sei de um profissional que passou 32 anos a fio pelo mesmo hall do prédio do seu escritório. Lá estava sempre, pontualíssimo, o mesmo porteiro. Dava-lhe bom-dia e às vezes lhe passava um recado ou uma correspondência. Um dia o porteiro cometeu a descortesia de falecer.
Como era ele? Sua cara? Sua voz? Como se vestia? Não fazia a mínima ideia. Em 32 anos, nunca o viu. Para ser notado, o porteiro teve que morrer. Se um dia no seu lugar estivesse uma girafa, cumprindo o rito, pode ser também que ninguém desse por sua ausência. O hábito suja os olhos e lhes baixa a voltagem. Mas há sempre o que ver. Gente, coisas, bichos. E vemos? Não, não vemos.
Uma criança vê o que o adulto não vê. Tem olhos atentos e limpos para o espetáculo do mundo. O poeta é capaz de ver pela primeira vez o que, de fato, ninguém vê. Há pai que nunca viu o próprio filho. Marido que nunca viu a própria mulher, isso existe às pampas. Nossos olhos se gastam no dia-a-dia, opacos. É por aí que se instala no coração o monstro da indiferença.
(In: Bom dia para nascer – Crônicas publicadas na Folha de S. Paulo. Seleção e posfácio de Humberto Werneck. São Paulo: Companhia das Letras, 1993)
Em relação às expressões negritadas no texto, considere as seguintes afirmativas.
I) O termo pontualíssimo é um superlativo absoluto sintético do adjetivo pontual e significa muito pontual.
II) A conjunção Mas (terceiro parágrafo) introduz uma ideia de adição à ideia do período anterior.
III) A expressão às pampas (quinto parágrafo) pode ser substituída por muito sem alterar o sentido.
Está(ão) CORRETA(s) apenas:
Provas
Questão presente nas seguintes provas
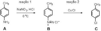
De acordo com as reações mostradas abaixo, podemos afirmar que:

Provas
Questão presente nas seguintes provas
Sepulturas sem sossego
AUGUSTO NUNES, Revista Veja online, 20/11/2013
Três anos e quatro meses depois de aberta por Hugo Chávez com a exumação de Simón Bolívar, a temporada de caça ao veneno chegou à etapa brasileira no interior gaúcho. Em sossego desde dezembro de 1976, no cemitério de São Borja, cidade onde nasceu e até agora jazia em paz, o presidente João Goulart foi transformado na bola da vez pelos praticantes da política dos mortos. Eles vivem à procura de pretextos para algum acerto de contas com o passado que permita reescrever a história com a mão esquerda. Os organizadores do resgate da última quarta-feira, por exemplo, sonham provar que Jango sucumbiu não ao infarto mais que previsível, mas a uma florentina troca de remédios tramada por envenenadores a serviço das ditaduras que infestavam o subcontinente. Aconselhados pelo que lhes resta de juízo, os celebrantes do rito fúnebre no Rio Grande do Sul substituíram por um velório pelo avesso a carnavalesca recepção armada por Hugo Chávez, em julho de 2010, para homenagear El Libertador à saída do seu mausoléu.
Observe o fragmento do texto e responda.
“Em sossego desde dezembro de 1976, no cemitério de São Borja, cidade onde nasceu e até agora jazia em paz, o presidente João Goulart foi transformado na bola da vez pelos praticantes da política dos mortos. Eles vivem à procura de pretextos para algum acerto de contas com o passado que permita reescrever a história com a mão esquerda.”
A alternativa que apresenta a reconstrução adequada do fragmento acima, considerando a coesão e a coerência e a preservação do significado, é:
Provas
Questão presente nas seguintes provas
É sabido que a estabilidade dos compostos organometálicos pode ser relacionada ao número de elétrons de valência que o composto possui. Essa indicação de estabilidade é conhecida como “Regra dos 18 Elétrons”. Dadas as fórmulas dos compostos organometálicos abaixo:
(1) [!$ Cr(CO)_n !$]
(2) [!$ Fe(CO)_n(PPh_3)_2 !$]
(3) [!$ Mo(CO)_n(PMe_3)_3 !$]
(4) [!$ W(CO)_n(η^6 – C_6H_6) !$]
Dados: Números Atômicos: !$ Cr !$ = !$ 24 !$, !$ Fe !$ = !$ 26 !$, !$ Mo !$ = !$ 42 !$, !$ W !$ = !$ 74 !$. Elétrons disponíveis nos ligantes: carbonila, !$ CO !$ = !$ 2 !$; trifenil fosfina, !$ PPh_3 !$ = !$ 2 !$; trimetil fosfina, !$ PMe_3 !$ = !$ 2 !$; benzeno, !$ η^6 !$ – !$ C_6H_6 !$ = !$ 6 !$.
Encontre os valores de n que satisfazem essa regra para as formulações acima e indique a alternativa que apresenta a resposta CORRETA.
Provas
Questão presente nas seguintes provas
Entre os métodos clássicos de análise, a titulometria é amplamente empregada para determinações de analitos de interesse em diversas situações. Três situações envolvendo métodos titulométricos são dadas a seguir:
I) O soro fisiológico é uma solução que contém 0,9% de cloreto de sódio (!$ NaCl !$) em água destilada. Na análise de 10,00 mL de uma amostra de soro fisiológico 0,9% em !$ NaCl !$ o cloro foi precipitado empregando 20,00 mL de solução de nitrato de prata 0,1000 !$ mol L^{–1} !$. A titulação da prata em excesso requereu 10 mL de solução de KCSN 0,1000 !$ mol L^{–1} !$, de onde concluiu-se que o soro fisiológico se encontra de acordo com as especificações desejadas para seu uso. (Dados: !$ NaCl !$ = 58,44 !$ g !$ !$ mol^{–1} !$).
II) Um aço inoxidável foi adquirido com uma especificação técnica para conter entre 12 e 15% de níquel em sua composição. Uma amostra de 1,0000 g deste aço foi digerida e titulada adequadamente, consumindo 13,00 mL de EDTA 0,0200 !$ mol L^{–1} !$, permitindo concluir que a amostra está apta para ser aceita. (Dados: Ni = 58,69 g !$ mol^{-1} !$).
III) Um analista encontrou no laboratório uma solução de HCl 0,1000 !$ mol L^{–1} !$ e efetuou a sua padronização, titulando uma amostra de 20,00 mL do ácido contra uma solução de !$ NaOH !$ fatorado. A titulação consumiu 10,15 mL de !$ NaOH !$ 0,1002 !$ mol L^{–1} !$, permitindo ao analista concluir que a solução se encontrava fora das especificações descritas no rótulo.
A respeito dos processos titulométricos, está(ão) CORRETA(s) apenas:
Provas
Questão presente nas seguintes provas
Alguns aldeídos e cetonas ocorrem naturalmente como feromônios sexual ou de alarme, como o undecanal, a 2-heptanona e o trans-2-hexenal. Sobre os aldeídos e cetonas, é CORRETO afirmar que:
Provas
Questão presente nas seguintes provas
Disco de flashback
Ed Motta lança álbum em homenagem a ícones das FMs
Ed Motta lança álbum em homenagem a ícones das FMs
Você provavelmente não sabe o que é AOR, sigla que batiza o novo álbum de Ed Motta. Mas deve ter ouvido alguma AOR hoje – seja no táxi ou em algum elevador. São as iniciais de Album-Oriented Rock, rótulo criado para aquele pop suave, típico das FMs. “É o que os brasileiros chamam de rádio de flashback”, explica o cantor.
O disco, que conta com 10 faixas inéditas, é um tributo a ícones de um estilo difícil de se definir, mas fácil de se reconhecer, que tem em Chicago e Steeley Dan alguns de seus representantes. “Ouço com a mesma atenção um disco do John Coltrane e outro do Christopher Cross”, afirma Ed, cometendo a suposta heresia de pôr na mesma frase o gênio do jazz e o subestimado autor de sucessos como Sailing e Ride Like the Wind.
AOR é, como Ed define, “um disco para se ouvir sentado”. Os grooves de faixas como Flores da Vida Real e A Encruzilhada são macios, feitos para o ouvinte prestar atenção aos arranjos. “São músicas pop e acessíveis, mas com uma moldura jazzística”, diz.
Texto de Marco Antonio Barbosa. Revista Voe Azul, ed. 01, Maio 2013, p. 34.
De acordo com o texto é CORRETO afirmar que a definição para AOR é:
I) músicas que somente tocam em táxis e elevadores, flashbacks não inéditas, mas pop e acessíveis.
II) pop suave com moldura jazzística, difícil de ser definida, para ouvir sentado prestando atenção aos arranjos.
III) música típica das FMS, cujos ícones são Chicago, Steeley Dan, John Coltrane, Christopher Cross.
Está(ão) CORRETA(s) apenas:
Provas
Questão presente nas seguintes provas

Em relação ao texto, assinale a afirmativa CORRETA.
Provas
Questão presente nas seguintes provas

É possível afirmar, a partir dos textos 1 e 2, que:
I) nas imagens, há uma diferença de 26 anos entre a instalação da Assembleia Constituinte em 1987 e as manifestações ocorridas em 2013.
II) a foto que ilustra esta página mostra dois momentos da história recente em que o Congresso Nacional foi tomado por pessoas comuns.
III) a relação entre o texto 1 e o texto 2 é a referência à Constituição brasileira, à democracia e às manifestações populares.
IV) a relação entre as imagens e o texto escrito é apenas a referência à democracia e a Constituição brasileiras.
Estão CORRETAS:
Provas
Questão presente nas seguintes provas
Cadernos
Caderno Container