Foram encontradas 890 questões.
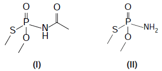
O Ministério da Agricultura liberou o uso de 31 novos agrotóxicos no Brasil (publicação do DOU, de 25/05/2019), dos quais 8 são considerados extremamente tóxicos pela Agência Nacional de Vigilância Sanitária (Anvisa). O inseticida acefato (I) é proibido na União Europeia, enquanto desponta entre os agrotóxicos mais vendidos no Brasil. Apesar de sua baixa toxicidade aos humanos, ele tem como primeiro metabólito o metamidofós (II), altamente tóxico. A seguir estão as estruturas moleculares do acefato e seu metabólito:

Assinale a alternativa que apresenta a forma mais apropriada de detecção dessas substâncias após procedimento de extração e separação por cromatografia gasosa.
Provas
O Projeto de Lei nº 3.267/2019 dispõe sobre as modificações das regras do Código de Trânsito Brasileiro e inclui a proposta da não obrigatoriedade da realização do exame toxicológico para motoristas profissionais. Essa modificação tem gerado grande polêmica, uma vez que o monitoramento de substâncias psicoativas em humanos é responsável pela redução de acidentes de ônibus (45%) e caminhões (34%), de acordo com dados da Polícia Rodoviária Federal. A ausência de um controle rigoroso do consumo dessas substâncias é praticamente um atentado contra a vida. A seguir estão algumas moléculas orgânicas com efeitos estimulantes.

Uma amostra com essas substâncias foi analisada por cromatografia líquida de alta eficiência (CLAE), em uma coluna de fase octadecilsilano (C18), usando-se uma mistura de metanol e água (70:30 v/v). Assinale a opção que corresponde à ordem de eluição cromatográfica.
Provas
Um padrão primário é uma substância com um elevado teor de pureza, utilizado como referência em algumas técnicas analíticas e que deve apresentar alguns requisitos, como:
Provas
O conceito de eletronegatividade foi introduzido por Linus Pauling na década de 1930 e atualmente se refere à medida da capacidade de um átomo de atrair elétrons de um átomo vizinho ao qual ele esteja ligado. De acordo com a unidade de Pauling, assinale a alternativa que apresenta o elemento mais eletronegativo.
Provas
Assinale a alternativa que apresenta o agente precipitante que pode ser utilizado em uma análise qualitativa para precipitar o Sr+2 de uma solução.
Provas
As unidades fundamentais do Sistema Internacional de Unidades (SI) são usadas pelos cientistas em todo o mundo. Assinale a alternativa que contém uma unidade fundamental do SI.
Provas
As técnicas de separação geralmente são necessárias antes de uma análise, tornando-se um assunto do maior interesse para os químicos. A cromatografia é uma técnica de separação que pode ser dividida em diferentes categorias com base no mecanismo de interação entre o soluto e a fase estacionária. Nesse contexto, assinale a alternativa correta.
Provas
Em uma extração líquido-líquido foram utilizados 20 mL de hexano como extrator e 10 mL de uma solução aquosa contendo um determinado analito com concentração igual a 1 x 10-3 mol.L-1, sendo o coeficiente de partição do analito igual a 2. Assinale a opção que apresenta a fração de analito na fase aquosa após a extração.
Provas
A espectrometria de absorção molecular está baseada na medida da transmitância ou absorvância. Na determinação espectrofotométrica da alizarina em uma solução, foi encontrado um valor de concentração igual a 1,00 x 10-4 mol.L-1. Os parâmetros utilizados na medida foram: caminho ótico igual a 1,00 cm e absortividade molar de 3,45 x 103 L cm-1 em 425 nm. Assinale a opção que apresenta o valor de absorvância encontrado nessa determinação.
Provas
A radiação infravermelha, em geral, não é suficientemente energética para causar transições eletrônicas, porém pode induzir transições nos estados vibracionais e rotacionais associados com o estado eletrônico fundamental da molécula. As fontes de radiação infravermelha são inertes eletricamente e aquecidas a uma temperatura acima de 1.500 ºC. Assinale a alternativa que apresenta a fonte de radiação que pode ser utilizada em um espectrofotômetro de infravermelho.
Provas
Caderno Container