Magna Concursos

Foram encontradas 45 questões.

881851 Ano: 2019
Disciplina: Engenharia Mecânica
Banca: UFMG
Orgão: UFMG
Provas:
Assinale a alternativa INCORRETA sobre o uso das propriedades da termodinâmica.
 

Provas

Questão presente nas seguintes provas
881850 Ano: 2019
Disciplina: Engenharia Mecânica
Banca: UFMG
Orgão: UFMG
Provas:
Por um duto fechado de seção retangular (15 cm x 10 cm), escoa um fluido cujo volume específico é 4 L/kg e sua viscosidade dinâmica é 8 x 10-3 Pa.s. A velocidade média do fluido é 0,5 m/s. Nesse contexto, o regime do escoamento é:
 

Provas

Questão presente nas seguintes provas
881849 Ano: 2019
Disciplina: Engenharia Mecânica
Banca: UFMG
Orgão: UFMG
Provas:
A elevação do ângulo de saída de uma ferramenta de corte tem como consequência a redução
 

Provas

Questão presente nas seguintes provas
881848 Ano: 2019
Disciplina: Engenharia Mecânica
Banca: UFMG
Orgão: UFMG
Provas:
A variável adimensional da mecânica dos fluidos que representa a razão entre as forças de inércia e as forças viscosas no escoamento de um fluido é:
 

Provas

Questão presente nas seguintes provas
881846 Ano: 2019
Disciplina: Engenharia Mecânica
Banca: UFMG
Orgão: UFMG
Provas:
Considere a transferência de calor através de uma parede com espessura de 10 cm e área de 10m2 , composta por um material com condutividade térmica de 0,5 W/mK, conforme a figura abaixo: enunciado 881846-1
No ambiente externo, o coeficiente de convecção é 10 W/m2 K e a temperatura externa é de 40ºC. No ambiente interno, o coeficiente de convecção é de 5 W/m2 K e a temperatura interna é de 20ºC.
A quantidade de calor transferida do ambiente externo para o interno através da parede é:
 

Provas

Questão presente nas seguintes provas
881845 Ano: 2019
Disciplina: Engenharia Mecânica
Banca: UFMG
Orgão: UFMG
Provas:

Um trocador de calor em contra corrente possui o esquema apresentado na figura abaixo:

enunciado 881845-1

Um fluido frio com calor específico de 4000 J/kgK entra no trocador de calor a 10ºC com vazão mássica de 1 kg/s. Na outra corrente, um fluido quente com calor específico de 2000 J/kgK entra no trocador de calor a 80ºC e vazão mássica de 10 kg/s. Sabe-se que o trocador de calor possui um UA de 1000 W/K e a sua média logarítma de temperaturas é 20ºC.

As temperaturas de saída dos fluidos frio e quente são, respectivamente:

 

Provas

Questão presente nas seguintes provas
881844 Ano: 2019
Disciplina: Engenharia Mecânica
Banca: UFMG
Orgão: UFMG
Provas:
Uma árvore de aço, com diâmetro (d) igual a 25,0 mm e comprimento (L) igual a 150 mm, está submetida a uma força PX = 2 kN, como mostrado na figura abaixo. Além disso, esta árvore está submetida a um torque T = 30 kN.m (não mostrado na figura), quando gira com rotação n=1750 rpm (sentido horário).
enunciado 881844-1 Desprezando o efeito do peso próprio, são tensões atuantes no ponto A desta árvore:
 

Provas

Questão presente nas seguintes provas
881842 Ano: 2019
Disciplina: Engenharia Mecânica
Banca: UFMG
Orgão: UFMG
Provas:

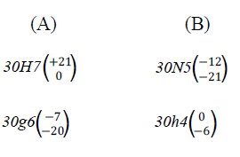
Nas especificações do projeto mecânico de um acoplamento eixo-furo de 30 mm, foram dadas as seguintes informações:

enunciado 881842-1

É CORRETO afirmar que os ajustes indicados são, respectivamente:

 

Provas

Questão presente nas seguintes provas
881841 Ano: 2019
Disciplina: Engenharia Mecânica
Banca: UFMG
Orgão: UFMG
Provas:

Considera os símbolos a seguir:

enunciado 881841-1

De acordo com a norma para indicação de tolerâncias geométricas em desenhos técnicos, esses símbolos indicam, respectivamente:

 

Provas

Questão presente nas seguintes provas
881840 Ano: 2019
Disciplina: Engenharia Mecânica
Banca: UFMG
Orgão: UFMG
Provas:

Considere o par de engrenagens cilíndricas de dentes retos da figura a seguir:

enunciado 881840-1

Sabendo que a engrenagem E1 possui 30 dentes, a engrenagem E2 possui 40 dentes e o módulo das engrenagens é igual a 5 mm, a distância L é igual a:

 

Provas

Questão presente nas seguintes provas