Magna Concursos

Foram encontradas 520 questões.

3869031 Ano: 2024
Disciplina: Estatística
Banca: UFRN
Orgão: UFERSA
Provas:
Duas empresas, Esmeraldas e Caroá, fabricam canetas e fornecem seus produtos para a Universidade Juazeiro. A produção das canetas Esmeraldas é duas vezes maior do que a produção das canetas Caroá, e as probabilidades de que as fábricas Esmeraldas e Caroá produzam canetas com defeito são de 3% e 5%, respectivamente. Uma vez produzidos os produtos, por ambas as empresas, eles são armazenados em um único depósito. Uma caneta foi selecionada, aleatoriamente, do depósito e se verificou que ela apresenta defeito. A probabilidade de que tenha sido produzida pela fábrica Caroá é de
 

Provas

Questão presente nas seguintes provas
3869030 Ano: 2024
Disciplina: Estatística
Banca: UFRN
Orgão: UFERSA
Provas:
Sejam A e B dois eventos associados a um experimento aleatório. Se P (B) = P (A) = 0, 6 e P (AC ∩ BC) = 0, 3, o valor de a, supondo que os eventos A e B sejam independentes, é igual a
 

Provas

Questão presente nas seguintes provas
3869029 Ano: 2024
Disciplina: Estatística
Banca: UFRN
Orgão: UFERSA
Provas:
Uma caixa contém 15 canetas, das quais cinco são defeituosas. Se duas canetas são selecionadas aleatoriamente, uma a uma, sem reposição, a probabilidade de que a segunda caneta seja defeituosa é igual a
 

Provas

Questão presente nas seguintes provas
3869028 Ano: 2024
Disciplina: Estatística
Banca: UFRN
Orgão: UFERSA
Provas:
Considere o conjunto de dados A = { X1, ..., Xn } com média Enunciado 4850604-1 e defina Enunciado 4850604-2 para i = 1, ... , n. Sendo assim, a média do conjunto de dados { Z1, ..., Zn } é igual a
 

Provas

Questão presente nas seguintes provas
3869027 Ano: 2024
Disciplina: Estatística
Banca: UFRN
Orgão: UFERSA
Provas:
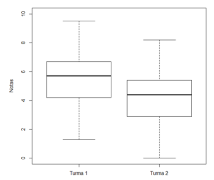
Para responder à questão, considere o caso a seguir
Um professor de estatística aplicou a mesma prova de Estatística Básica em duas turmas diferentes: Turma 1 e Turma 2. Com as notas das turmas, o professor construiu o diagrama de caixas, apresentado na Figura abaixo.
Diagrama de caixa das notas das Turmas 1 e 2 de Estatística Básica da Universidade Saber.
Enunciado 4850603-1
Com base na análise da Figura, considere as afirmativas a seguir.

I As medianas das Turmas 1 e 2 são maiores do que 6,0.
II A diferença entre as medianas das turmas é maior do que 3,0 pontos.
III A distribuição das notas de ambas as turmas é assimétrica à esquerda.
IV 50% das notas da Turma 1 estão entre 4,0 e 7,0.

Das afirmativas, estão corretas
 

Provas

Questão presente nas seguintes provas
3869026 Ano: 2024
Disciplina: Estatística
Banca: UFRN
Orgão: UFERSA
Provas:
Para responder à questão, considere o caso a seguir
Um professor de estatística aplicou a mesma prova de Estatística Básica em duas turmas diferentes: Turma 1 e Turma 2. Com as notas das turmas, o professor construiu o diagrama de caixas, apresentado na Figura abaixo.
Diagrama de caixa das notas das Turmas 1 e 2 de Estatística Básica da Universidade Saber.
Enunciado 4850602-1
As medidas de posição das notas das turmas indicam que
 

Provas

Questão presente nas seguintes provas
3869025 Ano: 2024
Disciplina: Estatística
Banca: UFRN
Orgão: UFERSA
Provas:
Um professor de estatística, após apresentar para a turma que leciona a média e o desvio padrão das notas (5,6 e 2,18 respectivamente), percebeu que tinha esquecido de adicionar, para cada aluno, 1,5 do trabalho extra que tinha feito com toda a turma. A média e o desvio padrão das notas dos alunos, após a inclusão da nota do trabalho extra, são, respectivamente,
 

Provas

Questão presente nas seguintes provas
3869024 Ano: 2024
Disciplina: Estatística
Banca: UFRN
Orgão: UFERSA
Provas:
Para responder à questão, considere o caso a seguir.
Gustavo, aluno do curso de graduação em estatística, está estudando sobre coeficiente de variação e desvio padrão. Em seus estudos, aprendeu que duas medidas estatísticas são usadas para avaliar a variabilidade de conjunto de dados. 
Em seus estudos sobre o coeficiente de variação, Gustavo concluiu:

I Quanto maior for o coeficiente de variação, mais homogêneo é o conjunto de dados.
II O coeficiente de variação é útil para comparar a variabilidade de dois ou mais conjuntos de dados que diferem na magnitude das observações.
III O coeficiente de variação é zero, quando a média é igual a zero.
IV O coeficiente de variação é uma medida adimensional.

Das afirmativas, estão corretas
 

Provas

Questão presente nas seguintes provas
3869023 Ano: 2024
Disciplina: Estatística
Banca: UFRN
Orgão: UFERSA
Provas:
Para responder à questão, considere o caso a seguir.
Gustavo, aluno do curso de graduação em estatística, está estudando sobre coeficiente de variação e desvio padrão. Em seus estudos, aprendeu que duas medidas estatísticas são usadas para avaliar a variabilidade de conjunto de dados. 
Durante os seus estudos sobre o desvio padrão, Gustavo avaliou:

I Quanto maior for o desvio padrão, mais heterogêneo é o conjunto de dados.
II Quanto menor for o desvio padrão, mais dispersos serão os dados.
III O conjunto de dados possui todos os valores iguais, se o desvio padrão for igual a zero.
IV O desvio padrão é uma medida adimensional.

Das afirmativas, estão corretas
 

Provas

Questão presente nas seguintes provas
3869022 Ano: 2024
Disciplina: Estatística
Banca: UFRN
Orgão: UFERSA
Provas:
Em um dia de entrega das correções das provas, um professor verificou a ausência de cinco dos seus alunos, de um total de 15 estudantes. Após a entrega das avaliações, foi possível identificar as seguintes notas dos alunos presentes na aula: 2, 7, 7, 3, 7, 9, 5, 8, 4, 9. Sabendo que todas as notas dos alunos ausentes foram valores inteiros, o maior valor possível para a mediana da nota dessa turma é
 

Provas

Questão presente nas seguintes provas