Foram encontradas 620 questões.
Provas
Provas
Provas
Provas
Provas
Provas
Analise o cenário a seguir.
Um técnico de TI está desenvolvendo uma aplicação onde existe um objeto X que contém informações importantes para outros objetos, de forma de que quando o valor do objeto X mudar, os outros objetos deverão ser notificados dessa alteração. Além disso, ele precisa especificar uma sequência de etapas em uma classe, onde algumas dessas etapas deverão ser delegadas para as subclasses.
Quais os dois padrões de projetos que podem ser empregados nesse cenário?
Provas
Utilizando Java 8, sobre a classe Cliente abaixo, o que podemos afirmar corretamente?

Provas
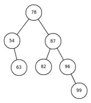
Considere a árvore AVL abaixo.

Marque o item que contém o percurso em pré-ordem após a inserção de um nó contendo o valor 100.
Provas
Provas
Caderno Container