Magna Concursos

Foram encontradas 40 questões.

1402348 Ano: 2015
Disciplina: Química
Banca: UERJ-SGP
Orgão: UERJ

Associe as proteínas às suas respectivas funções:

(1) hemoglobina

(2) imunoglobulinas

(3) insulina

(4) actina

(5) amilase

( ) mecanismos estruturais

( ) regulação da atividade celular ou fisiológica

( ) mecanismos de defesa do organismo

( ) função enzimática

( ) transporte de moléculas

Assinale a opção que apresenta a ordem correta da associação.

 

Provas

Questão presente nas seguintes provas

Considere que um pedaço A de polietileno pesou 11,2 g em uma balança cuja incerteza é ±0,1 g. Um outro pedaço de polietileno, B, pesou 15,98 g em uma balança de duas casas decimais. Um pedaço C pesou 3,000 g em uma balança analítica cuja incerteza é de ±0,1 mg.

Nessa situação, a soma das massas dos três pedaços de polietileno é igual a:

 

Provas

Questão presente nas seguintes provas
1400605 Ano: 2015
Disciplina: Engenharia Química
Banca: UERJ-SGP
Orgão: UERJ

Durante o processo de quantificação de proteínas totais por espectrofotometria, alguns cuidados devem ser tomados a fim de evitar erros de leitura. Com base nessa informação, analise as afirmativas abaixo:

I. Certificar-se de que o equipamento esteja fechado no momento da leitura das amostras minimiza efeitos de espalhamento e reflexões das superfícies das redes, lentes ou espelhos, filtros e janelas, resultantes da entrada de luz espúria.

II. Evitar a leitura de soluções muito diluídas, pois, para concentrações que excedem 0,01 mol L-1, a distância média entre os íons ou moléculas da espécie absorvente aumenta a ponto de cada partícula afetar a distribuição de carga.

III. Utilizar cubetas com o mesmo caminho óptico e equivalente em suas características ópticas para leitura das amostras e do branco;

IV. Limpar, antes da leitura, a superfície das células com um lenço de papel para lentes embebido em solução de glutaraldeído a 2%, a fim de evitar o acúmulo de partículas de poeira que interferem na leitura.

Assinale a opção que contém os cuidados corretos durante esse processo:

 

Provas

Questão presente nas seguintes provas
1399214 Ano: 2015
Disciplina: Química
Banca: UERJ-SGP
Orgão: UERJ

O tipo de ligação covalente mais frequente em proteínas secretadas para o meio extracelular e sua respectiva reação química de formação são:

 

Provas

Questão presente nas seguintes provas

Tem-se 100 g de uma solução aquosa de KBr a 10% em massa. Para torná-la uma solução de concentração de 50% em massa, a massa de KBr, em g, que deve ser adicionada a essa solução é:

 

Provas

Questão presente nas seguintes provas

Quando se trabalha com substâncias voláteis ou com reações que desprendam produtos gasosos, faz-se necessário o uso de uma capela de exaustão.

A capela de exaustão é recomendada durante a manipulação do seguinte reagente químico:

 

Provas

Questão presente nas seguintes provas

Um técnico de laboratório misturou 100 mL de solução de hidróxido de sódio a 5% em massa e densidade igual a 1,4 g/mL com 325 mL de NaOH 1 molar (M) e completou o volume para 1000 mL.

A molaridade da solução resultante é, em M, de:

 

Provas

Questão presente nas seguintes provas

O etanoato de pentila ou, como é comercialmente conhecido, acetato de amila, é um líquido com odor agradável de banana. A reação orgânica da síntese do acetato de amila é uma reação de:

 

Provas

Questão presente nas seguintes provas
1389740 Ano: 2015
Disciplina: Química
Banca: UERJ-SGP
Orgão: UERJ

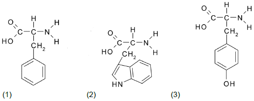
As proteínas possuem absorção máxima em comprimento de onda de, aproximadamente, 280 nm (UV), devido à presença de aminoácidos com cadeias laterais aromáticas.

Analise as estruturas químicas representadas abaixo.

Enunciado 1389740-1

Nas estruturas químicas 1, 2 e 3, os aminoácidos responsáveis pela absorbância citada são, respectivamente:

 

Provas

Questão presente nas seguintes provas
1389464 Ano: 2015
Disciplina: Engenharia Química
Banca: UERJ-SGP
Orgão: UERJ

Em espectrofotometria, o caminho óptico de células ou cubetas mais comum nos estudos nas regiões do UV e do visível é:

 

Provas

Questão presente nas seguintes provas