Magna Concursos

Foram encontradas 40 questões.

1235210 Ano: 2015
Disciplina: Direito Constitucional
Banca: UEM
Orgão: UEM
O conceito de Seguridade Social foi instituído pela Constituição Federal de 1988 para assegurar direitos. A Carta Magna apresenta três grandes sistemas de proteção social, denominados tripé da Seguridade Social. Quais áreas estão compreendidas nesse sistema?
 

Provas

Questão presente nas seguintes provas
1235209 Ano: 2015
Disciplina: Direito Constitucional
Banca: UEM
Orgão: UEM
O principal representante do Poder Executivo no Brasil é o
 

Provas

Questão presente nas seguintes provas
1235208 Ano: 2015
Disciplina: Matemática
Banca: UEM
Orgão: UEM

A soma das raízes da equação

4(x2 - 5)- x (x - 2) + 2(4 - x) = 0 é igual a

 

Provas

Questão presente nas seguintes provas
1235206 Ano: 2015
Disciplina: Matemática
Banca: UEM
Orgão: UEM
Uma torneira aberta despeja 150 litros de água, em 33 minutos. Quantos litros de água essa torneira despejará no tanque se ficar aberta durante 1 hora e 28 minutos?
 

Provas

Questão presente nas seguintes provas
1235205 Ano: 2015
Disciplina: Matemática
Banca: UEM
Orgão: UEM
Qual é o perímetro do quadrilátero cujos lados medem, respectivamente, 13,8 cm, 7,9 cm, 8,7 cm e 5,3 cm?
 

Provas

Questão presente nas seguintes provas
1235204 Ano: 2015
Disciplina: Matemática
Banca: UEM
Orgão: UEM
Maria emprestou R$ 180,00 e Paulo R$ 120,00 a Pedro. Como agradecimento, Pedro devolveu um total de R$ 360,00. Se foi devolvida a quantia proporcionalmente à quantia emprestada, então a quantia que Pedro devolveu para Paulo foi de
 

Provas

Questão presente nas seguintes provas
1235203 Ano: 2015
Disciplina: Matemática
Banca: UEM
Orgão: UEM
Gabriela comprou um telefone celular que custava R$ 850,00 por R$ 799,00. De quantos por cento foi o desconto obtido?
 

Provas

Questão presente nas seguintes provas
1235202 Ano: 2015
Disciplina: Matemática
Banca: UEM
Orgão: UEM
Fábia e Fernanda ganharam comissões sobre as suas vendas, sendo que Fernanda recebeu R$ 280,00 a mais do que Fábia. Quanto as duas, juntas, ganharam de comissão, se a razão entre as comissões recebidas é 5/7 ?
 

Provas

Questão presente nas seguintes provas
1235201 Ano: 2015
Disciplina: Matemática
Banca: UEM
Orgão: UEM
André recebia R$ 2.500,00 de salário e teve um reajuste de 7,2%. Então o salário de André, após esse reajuste, é de
 

Provas

Questão presente nas seguintes provas
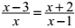
1235200 Ano: 2015
Disciplina: Matemática
Banca: UEM
Orgão: UEM

Se x satisfaz a equação enunciado 1235200-1 , então o valor de x é igual a

 

Provas

Questão presente nas seguintes provas