Foram encontradas 615 questões.
Observe a figura a seguir e considere
um corpo que rola pelos quatro trechos
determinados (I, II, III, IV). Qual dos
seguintes gráficos melhor representa
os movimentos no conjunto dos quatro
trechos?
(d = distância; v = velocidade; a =
aceleração; t = tempo; desconsidere os
efeitos de atrito e resistência com o ar.)


Provas
Questão presente nas seguintes provas
Em 1919 foram registrados em Príncipe,
na África, e em Sobral, no Brasil,
observações de um eclipse solar total que
permitiu a observação direta de estrelas
(da constelação da Hyades). Esse fato
foi fundamental para a consolidação da
teoria da
Provas
Questão presente nas seguintes provas
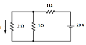
Para o seguinte circuito, qual é a corrente i através do resistor de 2Ω?

Provas
Questão presente nas seguintes provas
Se a temperatura de um corpo-negro
cresce por um fator de 3, a energia
irradiada por segundo por unidade de
área
Provas
Questão presente nas seguintes provas
“Dê-me um ponto de apoio e moverei o
mundo”. Essa frase é atribuída a qual
grande pensador e se refere a qual
instrumento de grande utilidade?
Provas
Questão presente nas seguintes provas
Galileu Galilei, ao estudar os corpos que
rolam em planos inclinados, invoca uma
espécie de lei para corpos acelerados
como seguindo a ordem dos números
ímpares consecutivos, ou seja, na 1ª
unidade de tempo percorrido, o móvel
se desloca 1 unidade de espaço; na 2ª,
3 unidades de espaço; na 3ª, 5 unidades e assim por diante. Se representarmos
t = tempo, s = espaço percorrido e k =
uma constante de proporcionalidade, é
correto afirmar que a relação que mais
se aproxima desse raciocínio é
Provas
Questão presente nas seguintes provas
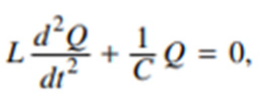
Para um indutor e um capacitor
conectados em série, a equação que
descreve o movimento da carga é
onde L é a indutância, C a capacitância e
Q é a carga. Uma equação análoga pode
ser escrita para um oscilador harmônico
com posição x, massa m e constante de
mola k. Quais são os análogos mecânicos
de L, C e Q, respectivamente?
onde L é a indutância, C a capacitância e
Q é a carga. Uma equação análoga pode
ser escrita para um oscilador harmônico
com posição x, massa m e constante de
mola k. Quais são os análogos mecânicos
de L, C e Q, respectivamente? Provas
Questão presente nas seguintes provas
Aristóteles acreditava que no mundo
sublunar os corpos graves (em oposição
aos corpos leves) possuíam movimento
natural para baixo, porque tendiam a
retornar ao seu lugar próprio. A diferença
de velocidades, v, de diferentes corpos
graves se dava pela quantidade de
grave que possuíam. Assim, quanto
mais “gravidade” tinha um corpo
terrestre, mais depressa ele caía. E
quanto mais denso o meio no qual ele se
deslocava, mais devagar era sua queda.
Se representarmos v = velocidade,
P = quantidade de grave (gravidade)
e d = densidade do meio, seria correto
demonstrar o pensamento aristotélico
pela seguinte expressão:
(considere k = uma constante de
proporcionalidade para recuperar a
dimensão da velocidade)
Provas
Questão presente nas seguintes provas
Qual das seguintes afirmações é
verdadeira sobre qualquer sistema
que sofra um processo termodinâmico
reversível?
Provas
Questão presente nas seguintes provas
Aristóteles dizia que um corpo só
se movia se era movido, ou seja, era
necessária a ação constante de uma
força motora para que o movimento
continuasse mesmo quando separado
de seu motor original, como o vôo de
uma flecha. A essa explicação, de origem
platônica, Aristóteles deu o nome de
Provas
Questão presente nas seguintes provas
Cadernos
Caderno Container