Foram encontradas 563 questões.
Na classificação de bens, segundo a norma ABNT NBR 14653, são exemplos de bens intangíveis:
Provas
A viga engastada da figura abaixo está submetida a uma carga uniformemente distribuída de 2 kN/m, em todo o seu vão de 3 m, e a uma carga concentrada de 4 kN.

O valor em módulo do momento fletor máximo que traciona as fibras superiores é
Provas
O arco triarticulado da figura abaixo está submetido a uma carga uniformemente distribuída de 200 kN/m em todo o seu vão de 24m.

O valor da reação horizontal que ocorre em cada apoio é, em módulo,
Provas
Segundo a Lei nº 14. 133/2021, o prazo mínimo para apresentação de propostas e lances, contado a partir da data de divulgação do edital de licitação, de serviços especiais e de obras de construção de edifícios da Administração Pública, quando adotados os critérios de julgamento de menor preço ou de maior desconto é de
Provas
Um dos cuidados que se deve ter no projeto das instalações hidráulicas prediais é evitar que ocorram nas tubulações picos de sobrepressão limitando a velocidade média da água a
Provas
Na utilização do programa AutoCAD, quando se necessita criar ou modificar estilos de cota, utiliza-se o comando:
Provas
As gruas contribuem significativamente nos processos de produção em canteiros de obras. Um dos itens necessários para garantir a segurança de operação das gruas é a obrigação de se ter nelas instaladas um dispositivo automático com alarme sonoro que indique a ocorrência de ventos superiores a
Provas
Para a vedação de uma estrutura com alvenaria de blocos de concreto foram gastos R$ 20.000,00 de custos diretos, R$ 600,00 de custos indiretos e R$ 200,00 de Administração Central. Considerando a necessidade de recolher 10% de impostos e que o lucro pretendido é de 10%, então o BDI praticado pela empreiteira é de
Provas
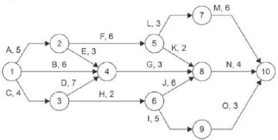
O planejamento da construção de uma nova obra comercial seguiu o cronograma PERT-CPM a seguir, no qual as atividades são representadas por letras, seguidas de suas durações em semanas.

Da análise do cronograma conclui-se que o prazo para conclusão da obra é de
Provas
No projeto de redes usuais de distribuição de água para abastecimento público, devem ser previstos setores de manobra para garantir a estanqueidade da rede pelo fechamento do menor número possível de válvulas. Recomenda-se que um setor de manobra abranja uma área com, no máximo,
Provas
Caderno Container