Foram encontradas 122 questões.
A seqüência de figuras abaixo foi construída obedecendo a determinado padrão.


Provas
Questão presente nas seguintes provas
Note que o mesmo padrão foi usado na disposição das pedras de dominó na primeira e na segunda linha do esquema abaixo.

Se a terceira linha deve seguir o mesmo padrão das anteriores, a pedra que tem os pontos de interrogação é

Se a terceira linha deve seguir o mesmo padrão das anteriores, a pedra que tem os pontos de interrogação é
Provas
Questão presente nas seguintes provas
Observe que no esquema seguinte a disposição das figuras segue um determinado padrão.

De acordo com tal padrão, a figura que completa a série é

De acordo com tal padrão, a figura que completa a série é
Provas
Questão presente nas seguintes provas
Considere que a tábua abaixo define uma operação ?, sobre o conjunto E = {1, 2, 3, 4, 5}.

Assim, por exemplo, 5 ? (4 ? 3) = 5 ? 5 = 2.
Nessas condições, se x é um elemento de E, tal que [(4 ? 3) ? (2 ? 5)] ? x = 1, então o valor de x é

Assim, por exemplo, 5 ? (4 ? 3) = 5 ? 5 = 2.
Nessas condições, se x é um elemento de E, tal que [(4 ? 3) ? (2 ? 5)] ? x = 1, então o valor de x é
Provas
Questão presente nas seguintes provas
Sabe-se que os pontos marcados nas faces opostas de um dado devem somar 7 pontos. Assim sendo, qual das figuras seguintes NÃO pode ser a planificação de um dado?
Provas
Questão presente nas seguintes provas
Considere que a tábua abaixo define uma operação ?, sobre o conjunto E = {1, 2, 3, 4, 5}.

Nessas condições, se x é um elemento de E, tal que [(4 ? 3) ? (2 ? 5)] ? x = 1, então o valor de x é

Nessas condições, se x é um elemento de E, tal que [(4 ? 3) ? (2 ? 5)] ? x = 1, então o valor de x é
Provas
Questão presente nas seguintes provas
Observe que há uma relação entre os dois primeiros grupos de letras apresentados abaixo. A mesma relação deve existir entre o terceiro e quarto grupo, que está faltando.
DFGJ : HJLO :: MOPS : ?
Considerando que as letras K, Y e W não pertencem ao alfabeto oficial usado, o grupo de letras que substituiria corretamente o ponto de interrogação é
DFGJ : HJLO :: MOPS : ?
Considerando que as letras K, Y e W não pertencem ao alfabeto oficial usado, o grupo de letras que substituiria corretamente o ponto de interrogação é
Provas
Questão presente nas seguintes provas
Soldando as extremidades de 12 tubos de ferro, cada qual com 2 m de comprimento, um escultor montou uma estrutura com a forma de um cubo. Se fosse possível caminhar pelas arestas desse cubo, qual seria a maior distância que se poderia percorrer partindo-se de um vértice e, sem passar por um mesmo vértice duas vezes ou pela mesma aresta duas vezes, retornar ao ponto de partida?
Provas
Questão presente nas seguintes provas
O Mini Sudoko é um interessante jogo de raciocínio lógico. Ele consiste de 36 quadrados de uma grade 6 X 6, subdividida em seis grades menores de 3 X 2. O objetivo do jogo é preencher os espaços em branco com os números de 1 a 6, de modo que os números colocados não sejam repetidos nas linhas e nem nas colunas da grade maior, e nem nas grades menores, como mostra o exemplo abaixo.

Observe que no esquema do jogo seguinte duas das casas em branco foram sombreadas. Você deve preencher o esquema de acordo com as regras do jogo, para descobrir quais números deverão ser colocados corretamente nessas duas casas.

Assim, a soma dos números que deverão ocupar as casas sombreadas é igual a

Observe que no esquema do jogo seguinte duas das casas em branco foram sombreadas. Você deve preencher o esquema de acordo com as regras do jogo, para descobrir quais números deverão ser colocados corretamente nessas duas casas.

Assim, a soma dos números que deverão ocupar as casas sombreadas é igual a
Provas
Questão presente nas seguintes provas
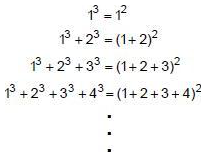
Observe a sucessão de igualdades seguintes:

A soma dos cubos dos 20 primeiros números inteiros positivos é um número N tal que

A soma dos cubos dos 20 primeiros números inteiros positivos é um número N tal que
Provas
Questão presente nas seguintes provas
Cadernos
Caderno Container