Foram encontradas 60 questões.
Trata especificamente de equipamento de proteção individual a norma regulamentadora de número
Provas
Questão presente nas seguintes provas
OBSERVAÇÃO: As questões sobre os aplicativos consideram
sempre a originalidade da versão referenciada e
não quaisquer outras passíveis de modificação (customização,
parametrização etc.) feita pelo usuário.
Instruções: Para responder às questões de números 26 a 30,
considere:
I. A necessidade de ativar no Windows XP ? edição
doméstica ? a proteção contra invasões e outras
ameaças (p. ex. vírus).
II. A tarefa de imprimir arquivos em uma impressora
instalada na rede, quando o padrão está definido
para uma impressora local do computador pessoal.
III. O recebimento de um arquivo executável como
anexo de uma mensagem eletrônica proveniente de
uma pessoa conhecida. Entretanto, os meios de
divulgação vêm alertando quanto à possibilidade de
vírus em arquivos com o nome parecido com o
recebido. Deve-se tomar providências para que não
prolifere o vírus, caso exista.
IV. Visando a organização e facilidade de acesso aos
arquivos do computador sob Windows XP, edição
doméstica, é recomendado proceder à exibição do
caminho completo do arquivo ou pasta abertos na
barra de endereços (drive:\pasta\subpasta\arquivo.
Ex. C:\Controles\Index\arquivo.
V. A fim de minimizar o prejuízo de perda de textos
digitados no Word 2000, seja por queda de energia
ou algum outro fator, é recomendado proceder ao
salvamento de informações de autorrecuperação a
cada 5 minutos.
O atendimento da necessidade I, isto é, para atingir o local que permite a ativação, uma sequência possível de passos é:sempre a originalidade da versão referenciada e
não quaisquer outras passíveis de modificação (customização,
parametrização etc.) feita pelo usuário.
Instruções: Para responder às questões de números 26 a 30,
considere:
I. A necessidade de ativar no Windows XP ? edição
doméstica ? a proteção contra invasões e outras
ameaças (p. ex. vírus).
II. A tarefa de imprimir arquivos em uma impressora
instalada na rede, quando o padrão está definido
para uma impressora local do computador pessoal.
III. O recebimento de um arquivo executável como
anexo de uma mensagem eletrônica proveniente de
uma pessoa conhecida. Entretanto, os meios de
divulgação vêm alertando quanto à possibilidade de
vírus em arquivos com o nome parecido com o
recebido. Deve-se tomar providências para que não
prolifere o vírus, caso exista.
IV. Visando a organização e facilidade de acesso aos
arquivos do computador sob Windows XP, edição
doméstica, é recomendado proceder à exibição do
caminho completo do arquivo ou pasta abertos na
barra de endereços (drive:\pasta\subpasta\arquivo.
Ex. C:\Controles\Index\arquivo.
V. A fim de minimizar o prejuízo de perda de textos
digitados no Word 2000, seja por queda de energia
ou algum outro fator, é recomendado proceder ao
salvamento de informações de autorrecuperação a
cada 5 minutos.
Provas
Questão presente nas seguintes provas
OBSERVAÇÃO: As questões sobre os aplicativos consideram
sempre a originalidade da versão referenciada e
não quaisquer outras passíveis de modificação (customização,
parametrização etc.) feita pelo usuário.
Instruções: Para responder às questões de números 26 a 30,
considere:
I. A necessidade de ativar no Windows XP ? edição
doméstica ? a proteção contra invasões e outras
ameaças (p. ex. vírus).
II. A tarefa de imprimir arquivos em uma impressora
instalada na rede, quando o padrão está definido
para uma impressora local do computador pessoal.
III. O recebimento de um arquivo executável como
anexo de uma mensagem eletrônica proveniente de
uma pessoa conhecida. Entretanto, os meios de
divulgação vêm alertando quanto à possibilidade de
vírus em arquivos com o nome parecido com o
recebido. Deve-se tomar providências para que não
prolifere o vírus, caso exista.
IV. Visando a organização e facilidade de acesso aos
arquivos do computador sob Windows XP, edição
doméstica, é recomendado proceder à exibição do
caminho completo do arquivo ou pasta abertos na
barra de endereços (drive:\pasta\subpasta\arquivo.
Ex. C:\Controles\Index\arquivo.
V. A fim de minimizar o prejuízo de perda de textos
digitados no Word 2000, seja por queda de energia
ou algum outro fator, é recomendado proceder ao
salvamento de informações de autorrecuperação a
cada 5 minutos.
A atitude mais adequada em III é:sempre a originalidade da versão referenciada e
não quaisquer outras passíveis de modificação (customização,
parametrização etc.) feita pelo usuário.
Instruções: Para responder às questões de números 26 a 30,
considere:
I. A necessidade de ativar no Windows XP ? edição
doméstica ? a proteção contra invasões e outras
ameaças (p. ex. vírus).
II. A tarefa de imprimir arquivos em uma impressora
instalada na rede, quando o padrão está definido
para uma impressora local do computador pessoal.
III. O recebimento de um arquivo executável como
anexo de uma mensagem eletrônica proveniente de
uma pessoa conhecida. Entretanto, os meios de
divulgação vêm alertando quanto à possibilidade de
vírus em arquivos com o nome parecido com o
recebido. Deve-se tomar providências para que não
prolifere o vírus, caso exista.
IV. Visando a organização e facilidade de acesso aos
arquivos do computador sob Windows XP, edição
doméstica, é recomendado proceder à exibição do
caminho completo do arquivo ou pasta abertos na
barra de endereços (drive:\pasta\subpasta\arquivo.
Ex. C:\Controles\Index\arquivo.
V. A fim de minimizar o prejuízo de perda de textos
digitados no Word 2000, seja por queda de energia
ou algum outro fator, é recomendado proceder ao
salvamento de informações de autorrecuperação a
cada 5 minutos.
Provas
Questão presente nas seguintes provas
OBSERVAÇÃO: As questões sobre os aplicativos consideram
sempre a originalidade da versão referenciada e
não quaisquer outras passíveis de modificação (customização,
parametrização etc.) feita pelo usuário.
Instruções: Para responder às questões de números 26 a 30,
considere:
I. A necessidade de ativar no Windows XP ? edição
doméstica ? a proteção contra invasões e outras
ameaças (p. ex. vírus).
II. A tarefa de imprimir arquivos em uma impressora
instalada na rede, quando o padrão está definido
para uma impressora local do computador pessoal.
III. O recebimento de um arquivo executável como
anexo de uma mensagem eletrônica proveniente de
uma pessoa conhecida. Entretanto, os meios de
divulgação vêm alertando quanto à possibilidade de
vírus em arquivos com o nome parecido com o
recebido. Deve-se tomar providências para que não
prolifere o vírus, caso exista.
IV. Visando a organização e facilidade de acesso aos
arquivos do computador sob Windows XP, edição
doméstica, é recomendado proceder à exibição do
caminho completo do arquivo ou pasta abertos na
barra de endereços (drive:\pasta\subpasta\arquivo.
Ex. C:\Controles\Index\arquivo.
V. A fim de minimizar o prejuízo de perda de textos
digitados no Word 2000, seja por queda de energia
ou algum outro fator, é recomendado proceder ao
salvamento de informações de autorrecuperação a
cada 5 minutos.
Para atender à recomendação V, estando no menu Ferramentas, deve-sesempre a originalidade da versão referenciada e
não quaisquer outras passíveis de modificação (customização,
parametrização etc.) feita pelo usuário.
Instruções: Para responder às questões de números 26 a 30,
considere:
I. A necessidade de ativar no Windows XP ? edição
doméstica ? a proteção contra invasões e outras
ameaças (p. ex. vírus).
II. A tarefa de imprimir arquivos em uma impressora
instalada na rede, quando o padrão está definido
para uma impressora local do computador pessoal.
III. O recebimento de um arquivo executável como
anexo de uma mensagem eletrônica proveniente de
uma pessoa conhecida. Entretanto, os meios de
divulgação vêm alertando quanto à possibilidade de
vírus em arquivos com o nome parecido com o
recebido. Deve-se tomar providências para que não
prolifere o vírus, caso exista.
IV. Visando a organização e facilidade de acesso aos
arquivos do computador sob Windows XP, edição
doméstica, é recomendado proceder à exibição do
caminho completo do arquivo ou pasta abertos na
barra de endereços (drive:\pasta\subpasta\arquivo.
Ex. C:\Controles\Index\arquivo.
V. A fim de minimizar o prejuízo de perda de textos
digitados no Word 2000, seja por queda de energia
ou algum outro fator, é recomendado proceder ao
salvamento de informações de autorrecuperação a
cada 5 minutos.
Provas
Questão presente nas seguintes provas
OBSERVAÇÃO: As questões sobre os aplicativos consideram
sempre a originalidade da versão referenciada e
não quaisquer outras passíveis de modificação (customização,
parametrização etc.) feita pelo usuário.
Instruções: Para responder às questões de números 26 a 30,
considere:
I. A necessidade de ativar no Windows XP ? edição
doméstica ? a proteção contra invasões e outras
ameaças (p. ex. vírus).
II. A tarefa de imprimir arquivos em uma impressora
instalada na rede, quando o padrão está definido
para uma impressora local do computador pessoal.
III. O recebimento de um arquivo executável como
anexo de uma mensagem eletrônica proveniente de
uma pessoa conhecida. Entretanto, os meios de
divulgação vêm alertando quanto à possibilidade de
vírus em arquivos com o nome parecido com o
recebido. Deve-se tomar providências para que não
prolifere o vírus, caso exista.
IV. Visando a organização e facilidade de acesso aos
arquivos do computador sob Windows XP, edição
doméstica, é recomendado proceder à exibição do
caminho completo do arquivo ou pasta abertos na
barra de endereços (drive:\pasta\subpasta\arquivo.
Ex. C:\Controles\Index\arquivo.
V. A fim de minimizar o prejuízo de perda de textos
digitados no Word 2000, seja por queda de energia
ou algum outro fator, é recomendado proceder ao
salvamento de informações de autorrecuperação a
cada 5 minutos.
Estando com um documento aberto no Word, por exemplo, para cumprir a tarefa II é necessário: sempre a originalidade da versão referenciada e
não quaisquer outras passíveis de modificação (customização,
parametrização etc.) feita pelo usuário.
Instruções: Para responder às questões de números 26 a 30,
considere:
I. A necessidade de ativar no Windows XP ? edição
doméstica ? a proteção contra invasões e outras
ameaças (p. ex. vírus).
II. A tarefa de imprimir arquivos em uma impressora
instalada na rede, quando o padrão está definido
para uma impressora local do computador pessoal.
III. O recebimento de um arquivo executável como
anexo de uma mensagem eletrônica proveniente de
uma pessoa conhecida. Entretanto, os meios de
divulgação vêm alertando quanto à possibilidade de
vírus em arquivos com o nome parecido com o
recebido. Deve-se tomar providências para que não
prolifere o vírus, caso exista.
IV. Visando a organização e facilidade de acesso aos
arquivos do computador sob Windows XP, edição
doméstica, é recomendado proceder à exibição do
caminho completo do arquivo ou pasta abertos na
barra de endereços (drive:\pasta\subpasta\arquivo.
Ex. C:\Controles\Index\arquivo.
V. A fim de minimizar o prejuízo de perda de textos
digitados no Word 2000, seja por queda de energia
ou algum outro fator, é recomendado proceder ao
salvamento de informações de autorrecuperação a
cada 5 minutos.
1. Escolher Imprimir.
2. Pressionar o botão OK.
3. Pressionar o botão Iniciar.
4. Selecionar o nome da impressora desejada na janela de impressão.
5. Acionar o menu Arquivo.
6. Escolher Impressoras.
A sequência correta de passos é:
Provas
Questão presente nas seguintes provas
OBSERVAÇÃO: As questões sobre os aplicativos consideram
sempre a originalidade da versão referenciada e
não quaisquer outras passíveis de modificação (customização,
parametrização etc.) feita pelo usuário.
Instruções: Para responder às questões de números 26 a 30,
considere:
I. A necessidade de ativar no Windows XP ? edição
doméstica ? a proteção contra invasões e outras
ameaças (p. ex. vírus).
II. A tarefa de imprimir arquivos em uma impressora
instalada na rede, quando o padrão está definido
para uma impressora local do computador pessoal.
III. O recebimento de um arquivo executável como
anexo de uma mensagem eletrônica proveniente de
uma pessoa conhecida. Entretanto, os meios de
divulgação vêm alertando quanto à possibilidade de
vírus em arquivos com o nome parecido com o
recebido. Deve-se tomar providências para que não
prolifere o vírus, caso exista.
IV. Visando a organização e facilidade de acesso aos
arquivos do computador sob Windows XP, edição
doméstica, é recomendado proceder à exibição do
caminho completo do arquivo ou pasta abertos na
barra de endereços (drive:\pasta\subpasta\arquivo.
Ex. C:\Controles\Index\arquivo.
V. A fim de minimizar o prejuízo de perda de textos
digitados no Word 2000, seja por queda de energia
ou algum outro fator, é recomendado proceder ao
salvamento de informações de autorrecuperação a
cada 5 minutos.
Para acionar esse modo de exibição, conforme recomendado em IV, estando no Meu Computador por meio do menusempre a originalidade da versão referenciada e
não quaisquer outras passíveis de modificação (customização,
parametrização etc.) feita pelo usuário.
Instruções: Para responder às questões de números 26 a 30,
considere:
I. A necessidade de ativar no Windows XP ? edição
doméstica ? a proteção contra invasões e outras
ameaças (p. ex. vírus).
II. A tarefa de imprimir arquivos em uma impressora
instalada na rede, quando o padrão está definido
para uma impressora local do computador pessoal.
III. O recebimento de um arquivo executável como
anexo de uma mensagem eletrônica proveniente de
uma pessoa conhecida. Entretanto, os meios de
divulgação vêm alertando quanto à possibilidade de
vírus em arquivos com o nome parecido com o
recebido. Deve-se tomar providências para que não
prolifere o vírus, caso exista.
IV. Visando a organização e facilidade de acesso aos
arquivos do computador sob Windows XP, edição
doméstica, é recomendado proceder à exibição do
caminho completo do arquivo ou pasta abertos na
barra de endereços (drive:\pasta\subpasta\arquivo.
Ex. C:\Controles\Index\arquivo.
V. A fim de minimizar o prejuízo de perda de textos
digitados no Word 2000, seja por queda de energia
ou algum outro fator, é recomendado proceder ao
salvamento de informações de autorrecuperação a
cada 5 minutos.
Provas
Questão presente nas seguintes provas
Nos microcontroladores da família 8051, o desvio imediato do processamento para um endereço específico da memória de programa, onde se encontra uma determinada sub-rotina, pode ser obtido via hardware por meio
Provas
Questão presente nas seguintes provas
Tem-se uma fonte de alimentação linear composta por um transformador abaixador de tensão, uma ponte retificadora e um capacitor de filtro C. Ao ligar uma carga resistiva R na saída, obtém-se uma corrente média I e uma tensão média V com um ripple de frequência f e cujo valor pico a pico é no máximo 10% da tensão média na carga. A expressão que corresponde a um valor aproximado do valor pico a pico do ripple é
Provas
Questão presente nas seguintes provas
O esquema abaixo representa um circuito digital de controle, família TTL, que deve acionar uma carga CA por meio de uma interface de potência.
O resistor RB mais adequado para a operação da interface de potência é
O resistor RB mais adequado para a operação da interface de potência é
Provas
Questão presente nas seguintes provas
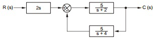
Considere o sistema de controle abaixo.
A função de transferência é dada por:
A função de transferência é dada por:
Provas
Questão presente nas seguintes provas
Cadernos
Caderno Container