Magna Concursos

Foram encontradas 951 questões.

948341 Ano: 2009
Disciplina: Estatística
Banca: CESPE / CEBRASPE
Orgão: TRT-17
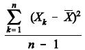
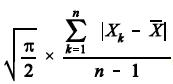
Considere um conjunto de variáveis aleatóriasenunciado 948341-1enunciado 948341-2representa o tempo gasto
pelo k-ésimo oficial de justiça para o cumprimento de um
mandado judicial. Essas variáveis aleatórias são independentes e
identicamente distribuídas, segundo uma distribuição normal com
média m e desvio padrão d, ambos desconhecidos.

A partir dessas informações, julgue os itens de 69 a 76,
considerando que enunciado 948341-3represente a média amostral desse conjunto
de variáveis aleatórias.
O desvio médio absoluto, definido porenunciado 948341-4 , é uma estatística não-tendenciosa para o desvio padrão d.
 

Provas

Questão presente nas seguintes provas
948340 Ano: 2009
Disciplina: Estatística
Banca: CESPE / CEBRASPE
Orgão: TRT-17
Considere um conjunto de variáveis aleatóriasenunciado 948340-1enunciado 948340-2representa o tempo gasto
pelo k-ésimo oficial de justiça para o cumprimento de um
mandado judicial. Essas variáveis aleatórias são independentes e
identicamente distribuídas, segundo uma distribuição normal com
média m e desvio padrão d, ambos desconhecidos.

A partir dessas informações, julgue os itens de 69 a 76,
considerando que enunciado 948340-3represente a média amostral desse conjunto
de variáveis aleatórias.
A funçãoenunciado 948340-4 é um estimador tendencioso para o desvio padrão d.
 

Provas

Questão presente nas seguintes provas
948339 Ano: 2009
Disciplina: Estatística
Banca: CESPE / CEBRASPE
Orgão: TRT-17
Considere um conjunto de variáveis aleatóriasenunciado 948339-1enunciado 948339-2representa o tempo gasto
pelo k-ésimo oficial de justiça para o cumprimento de um
mandado judicial. Essas variáveis aleatórias são independentes e
identicamente distribuídas, segundo uma distribuição normal com
média m e desvio padrão d, ambos desconhecidos.

A partir dessas informações, julgue os itens de 69 a 76,
considerando que enunciado 948339-3represente a média amostral desse conjunto
de variáveis aleatórias.
A somaenunciado 948339-4 é uma estatística suficiente e completa para a estimação dos parâmetros m e d.
 

Provas

Questão presente nas seguintes provas
948338 Ano: 2009
Disciplina: Estatística
Banca: CESPE / CEBRASPE
Orgão: TRT-17
Considere um conjunto de variáveis aleatóriasenunciado 948338-1enunciado 948338-2representa o tempo gasto
pelo k-ésimo oficial de justiça para o cumprimento de um
mandado judicial. Essas variáveis aleatórias são independentes e
identicamente distribuídas, segundo uma distribuição normal com
média m e desvio padrão d, ambos desconhecidos.

A partir dessas informações, julgue os itens de 69 a 76,
considerando que enunciado 948338-3represente a média amostral desse conjunto
de variáveis aleatórias.
A estatísticaenunciado 948338-4 é o estimador de máxima verossimilhança para denunciado 948338-5.
 

Provas

Questão presente nas seguintes provas
948337 Ano: 2009
Disciplina: Estatística
Banca: CESPE / CEBRASPE
Orgão: TRT-17
Considere um conjunto de variáveis aleatóriasenunciado 948337-1enunciado 948337-2representa o tempo gasto
pelo k-ésimo oficial de justiça para o cumprimento de um
mandado judicial. Essas variáveis aleatórias são independentes e
identicamente distribuídas, segundo uma distribuição normal com
média m e desvio padrão d, ambos desconhecidos.

A partir dessas informações, julgue os itens de 69 a 76,
considerando que enunciado 948337-3represente a média amostral desse conjunto
de variáveis aleatórias.
Assintoticamente, a distribuição da mediana amostral é normal, com média m e desvio padrão maior queenunciado 948337-4
 

Provas

Questão presente nas seguintes provas
948336 Ano: 2009
Disciplina: Estatística
Banca: CESPE / CEBRASPE
Orgão: TRT-17
Uma empresa de consultoria realizou um levantamento
para testar a hipótese nula enunciado 948336-1: r = 0,1 contra a hipótese alternativa
H1: r enunciado 948336-2 0,1, em que r representa a proporção de desistências em
ações judiciais. De uma amostra aleatória simples de 100 casos,
foram encontradas desistências em 17 casos.
Considerando essa situação, julgue os itens seguintes assumindo
que enunciado 948336-3(2,6) = 0,995, em que enunciado 948336-4(z) representa a função de
distribuição acumulada da distribuição normal padrão.
Com a correção de continuidade, a estimativa intervalar assintótica para a proporção r, com 99% de confiança, é 0,170 ± 0,078.
 

Provas

Questão presente nas seguintes provas
948335 Ano: 2009
Disciplina: Estatística
Banca: CESPE / CEBRASPE
Orgão: TRT-17
Uma empresa de consultoria realizou um levantamento
para testar a hipótese nula enunciado 948335-1: r = 0,1 contra a hipótese alternativa
H1: r enunciado 948335-2 0,1, em que r representa a proporção de desistências em
ações judiciais. De uma amostra aleatória simples de 100 casos,
foram encontradas desistências em 17 casos.
Considerando essa situação, julgue os itens seguintes assumindo
que enunciado 948335-3(2,6) = 0,995, em que enunciado 948335-4(z) representa a função de
distribuição acumulada da distribuição normal padrão.
Efetuando-se o teste qui-quadrado de aderência à distribuição de Bernoulli, a hipótese nula não é rejeitada se o nível de significância for igual a 0,5%.
 

Provas

Questão presente nas seguintes provas
948334 Ano: 2009
Disciplina: Estatística
Banca: CESPE / CEBRASPE
Orgão: TRT-17
Uma empresa de consultoria realizou um levantamento
para testar a hipótese nula enunciado 948334-1: r = 0,1 contra a hipótese alternativa
H1: r enunciado 948334-2 0,1, em que r representa a proporção de desistências em
ações judiciais. De uma amostra aleatória simples de 100 casos,
foram encontradas desistências em 17 casos.
Considerando essa situação, julgue os itens seguintes assumindo
que enunciado 948334-3(2,6) = 0,995, em que enunciado 948334-4(z) representa a função de
distribuição acumulada da distribuição normal padrão.
O valor da estatística do teste de Wald é inferior aenunciado 948334-5

 

Provas

Questão presente nas seguintes provas
948333 Ano: 2009
Disciplina: Matemática
Banca: CESPE / CEBRASPE
Orgão: TRT-17
Uma companhia necessita constituir provisões
financeiras para despesas decorrentes de processos judiciais por
reclamações trabalhistas. Considere que o total anual dessas
despesas seja igual a X, em que X segue uma distribuição normal
com média igual a R$ 30 mil e desvio padrão, R$ 10 mil.

Tendo como referência essa situação, julgue os itens a seguir,
assumindo que enunciado 948333-1(2) = 0,977, em que enunciado 948333-2(z) representa a função de
distribuição acumulada da distribuição normal padrão.
Considere que as realizações de X sejam independentes ao longo dos anos e que o montante a ser provisionado para 2014 seja igual à média aritmética M dos valores a serem reservados nos 4 anos anteriores, 2010 a 2013. Nessa situação, para 2014, a probabilidade de que o valor de X seja maior que M é igual a 0,5.
 

Provas

Questão presente nas seguintes provas
948332 Ano: 2009
Disciplina: Estatística
Banca: CESPE / CEBRASPE
Orgão: TRT-17
Uma companhia necessita constituir provisões
financeiras para despesas decorrentes de processos judiciais por
reclamações trabalhistas. Considere que o total anual dessas
despesas seja igual a X, em que X segue uma distribuição normal
com média igual a R$ 30 mil e desvio padrão, R$ 10 mil.

Tendo como referência essa situação, julgue os itens a seguir,
assumindo que enunciado 948332-1(2) = 0,977, em que enunciado 948332-2(z) representa a função de
distribuição acumulada da distribuição normal padrão.
Com 95,4% de confiança, é correto afirmar que, para o próximo ano, o total das despesas mencionadas está entre R$ 10 mil e R$ 50 mil.
 

Provas

Questão presente nas seguintes provas