Magna Concursos

Foram encontradas 709 questões.

462658 Ano: 2017
Disciplina: Engenharia Elétrica
Banca: FCC
Orgão: TRT-11
Termelétrica que funciona com gás, diesel ou gasolina, instalada em hospitais, shopping centers etc., cuja função é entrar em operação apenas quando há falta de energia elétrica. Trata-se de um
 

Provas

Questão presente nas seguintes provas
462657 Ano: 2017
Disciplina: Engenharia Elétrica
Banca: FCC
Orgão: TRT-11
Um ambiente de um edifício tem as seguintes características:
− Térreo. − Área de uso comunitário. − Área úmida, com torneiras aquecidas eletricamente. − Tomadas sobre uma pia.
O projeto da instalação elétrica do edifício, para o circuito de tomadas sobre a pia, nas condições descritas anteriormente, deve prever os seguintes dispositivos de proteção:
 

Provas

Questão presente nas seguintes provas
462656 Ano: 2017
Disciplina: Engenharia Elétrica
Banca: FCC
Orgão: TRT-11
Considere as seguintes descrições de grau de proteção de transformadores trifásicos:
I. Protegido contra poeira e contra jatos d’água. II. Protegido contra objetos sólidos de diâmetro maior ou igual a 50 mm e contra gotas d’água caindo verticalmente. III. Protegido contra objetos sólidos de diâmetro maior ou igual a 2,5 mm e contra aspersão d’água.
Os IPs dos casos descritos são:
 

Provas

Questão presente nas seguintes provas
462655 Ano: 2017
Disciplina: Engenharia Elétrica
Banca: FCC
Orgão: TRT-11
Uma bomba d’água de 2 CV que opera com 380 V em tensão trifásica, 60 Hz, tem corrente nominal de 3,7 A e cos ϕ = 0,75. A bomba trabalha com rendimento
 

Provas

Questão presente nas seguintes provas
462654 Ano: 2017
Disciplina: Engenharia Civil
Banca: FCC
Orgão: TRT-11
Nos projetos das estruturas metálicas, deve-se evitar empoçamento progressivo de água nas coberturas. Para que não sejam feitas verificações adicionais para evitar a possibilidade de colapso estrutural causado pelo peso próprio da água acumulada, a inclinação mínima da cobertura deve ser de
 

Provas

Questão presente nas seguintes provas
462653 Ano: 2017
Disciplina: Engenharia Civil
Banca: FCC
Orgão: TRT-11
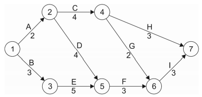
Considere planejamento de uma obra civil feito por meio do cronograma PERT-CPM, representado abaixo enunciado 462653-1
Devido a uma série de problemas logísticos relativos à entrega de materiais o engenheiro pode contar com uma folga, no caminho das atividades A, C, H, sem atrasar a obra, em dias, de
 

Provas

Questão presente nas seguintes provas
462652 Ano: 2017
Disciplina: Engenharia Civil
Banca: FCC
Orgão: TRT-11
Um engenheiro necessitou orçar, para as fundações de uma residência térrea, 24 brocas de concreto com diâmetro de 30 cm, incluindo os arranques de aço CA-50 com bitola de 10 mm, conforme a tabela de composição de custos unitários abaixo. enunciado 462652-1
Considerando que cada broca tenha 6 m de comprimento, o custo da execução das brocas , em reais, é
 

Provas

Questão presente nas seguintes provas
462651 Ano: 2017
Disciplina: Engenharia Civil
Banca: FCC
Orgão: TRT-11
Para o projeto das instalações de água fria de uma residência foram consideradas as seguintes peças sanitárias, com seus respectivos pesos relativos: enunciado 462651-1
A vazão de água estimada, em litros por segundo, na tubulação que abastecerá essas peças, é
 

Provas

Questão presente nas seguintes provas
462650 Ano: 2017
Disciplina: Engenharia Civil
Banca: FCC
Orgão: TRT-11
Considere a instalação elétrica de comando de uma lâmpada, composta por três interruptores. enunciado 462650-1
Sobre o sistema de comando do circuito da instalação elétrica é correto afirmar:
 

Provas

Questão presente nas seguintes provas
462649 Ano: 2017
Disciplina: Engenharia Civil
Banca: FCC
Orgão: TRT-11
Uma estrutura metálica foi construída com treliças de aço com 9 m de comprimento e 2 m de altura, como representada na figura abaixo. enunciado 462649-1
O aço utilizado possui módulo de elasticidade de 200 GPa. Se a área da seção transversal dos perfis de aço das diagonais for de 6,25 cm2, o encurtamento, em milímetros, da barra diagonal FG, é
 

Provas

Questão presente nas seguintes provas