Foram encontradas 1.265 questões.
A figura a seguir apresenta um sistema de bombeamento composto por 3 bombas iguais operando simultaneamente.

Fonte: GOMES, H. P., CARVALHO, P. S. O., 2012, Manual de Sistemas de Bombeamento. Ed. UFPB
Considerando que cada bomba tem vazão de 30 l/s e altura manométrica de 45 m, a vazão e a altura manométrica desse conjunto de bombas valem, respectivamente:
Provas
A figura a seguir apresenta uma treliça sob a ação de uma carga distribuída uniformemente no seu banzo inferior.

Nessa estrutura, as barras 1, 2 e 3 são submetidas a esforços de:
Provas
- Programação, Controle e Fiscalização de ObrasControle Físico e Financeiro
- Programação, Controle e Fiscalização de ObrasOrçamento e Composição de Custos
Na indústria, a eficiência operacional e a redução de custos são aspectos cruciais.
Uma abordagem que implica melhorias significativas na eficiência e na redução de custos é a:
Provas
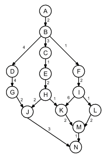
A figura a seguir apresenta a rede PERT/CPM de uma obra, que consiste das atividades identificadas pelas letras A a N.

Nessa rede, o caminho crítico é definido pela sequência de etapas:
Provas
Na indústria, há diferentes tipos de manutenção cujo intuito é minimizar paradas de produção e acidentes de trabalho. Desse modo, o tipo de manutenção efetuado em intervalos predeterminados, ou de acordo com critérios prescritos, destinado a reduzir a probabilidade de falha ou a degradação do funcionamento de um item é denominado manutenção:
Provas
As máquinas, por frequentemente possuírem componentes que deslizam relativamente entre si, devem ser lubrificadas. Para tanto, podem-se utilizar graxas ou óleos.
De modo geral, uma das vantagens das graxas sobre os óleos é a melhor:
Provas
No ensaio em vazio de um motor trifásico de indução, em frequência nominal e tensão de linha igual à tensão nominal, foi obtida uma corrente de 10 A e uma potência de 2000 W.
Sabendo que a resistência em corrente contínua medida no estator, em uma das fases, é de 5 Ω, a perda rotacional nesse motor é de:
Provas
A escorva de uma bomba é sempre necessária antes de pô-la em funcionamento. Sobre esse processo, analise as afirmativas seguir.
I. Quando a bomba é instalada com o eixo abaixo do nível do líquido a ser deslocado, a escorva se dá pela abertura da torneira de expurgo superior, deixando escapar o ar.
II. Em bombas que trabalham com altura de sucção, a escorva pode se dar por meio de um ejetor posicionado no tubo de sucção, no nível mínimo inferior da água no reservatório.
III. A válvula de pé é uma opção para conservar a bomba escorvada e deve ser frequentemente inspecionada e, quando necessário, limpa.
Está correto somente o que se afirma em:
Provas
Na tubulação AB de seção transversal circular indicada esquematicamente na figura a seguir, desenvolve-se o escoamento forçado de água.

Sabe-se que a pressão em A é de 10 kPa e que a velocidade de escoamento nesse ponto vale 4 m/s. Além disso, o diâmetro interno nesse ponto é o dobro do diâmetro em B. Desprezando-se as perdas ao longo da tubulação e admitindo-se que o peso específico da água vale 10 kN/m3 e a aceleração da gravidade é de 10 m/s2 , a pressão no ponto B é de:
Provas
Na soldagem por arco elétrico com corrente contínua, pode ocorrer um fenômeno denominado sopro magnético, que deve ser controlado ou minimizado para níveis aceitáveis.
Uma das medidas possíveis para o controle/minimização desse fenômeno é:
Provas
Caderno Container