Foram encontradas 1.320 questões.
Algumas propriedades físicas são aplicadas para distinguir analiticamente os fluidos, sendo empregadas para entender o comportamento desses fluidos e, também, no estudo do escoamento. Em geral, estudam-se as variações sofridas por essas propriedades em função de variáveis de processo.
NÃO se aplica ao estudo dos fluidos a(o)
Provas
As razões entre algumas forças são representadas como números adimensionais, que são bastante aplicados ao estudo da mecânica dos fluidos. Dentre esses, destacam-se o número de Froude (Fr) e o numero de Euler (Eu) que representam a razão entre as forças
| Número de Froude | Número de Euler |
Provas
A força de arraste (F) de um corpo esférico liso em um dado fluido, depende da velocidade relativa desse corpo (V), do diâmetro (D) desse corpo, da massa específica do fluido (ρ), e da viscosidade do fluido (μ). No estudo e dimensionamento da relação de F com os demais parâmetros, sendo n o número de parâmetros envolvidos, k, o número de dimensões primárias, e Π o(s) grupo(s) adimensional(is), tem-se que
Provas
As propriedades termodinâmicas de uma substância são frequentemente apresentadas, além de em tabelas, em cartas ou em diagramas que são úteis porque apresentam a relação entre as propriedades termodinâmicas e também porque possibilitam a visualização dos fenômenos que ocorrem em cada parte do sistema.
Os chamados diagramas de Mollier usualmente têm como ordenada a
Provas
Gás natural, cuja composição molar é 90% de metano, 7% de etano e 3% de propano, escoa no interior de uma tubulação de 0,1 m2 de área de seção transversal, com velocidade uniforme igual a 0,56 m/s, na temperatura de 25 °C e pressão de 200 kPa.
Considerando comportamento ideal do gás, a vazão mássica do gás natural nesse escoamento, expressa em kg/s, é
Dados:
Constante universal dos gases R = 8,31 J/(mol.K)
Massa molar do metano = 16 kg/kgmol
Massa molar do etano = 30 kg/kgmol
Massa molar do propano = 44 kg/kgmol
Provas
No pátio aberto de uma refinaria, são dispostos tanques fechados, construídos em aço carbono, destinados à estocagem de combustíveis líquidos. Os fundos dos tanques ficam em contato direto com o solo revestido de cimento. Para a situação apresentada, ocorre transferência de calor por
Provas
Em um trocador de calor de correntes paralelas, o fluido quente entra a 160 °C e sai a 80 °C, e o fluido frio entra a 20 °C e sai a 60 °C. O coeficiente global de transferência de calor (limpo) para o trocador é 200 W/(m2.K), e as resistências de depósito para os fluidos quente e frio são, respectivamente, 0,001m2.K / W e 0,002 m2.K / W.
Se a área de troca térmica é de 3 m2, a quantidade de calor transferido, em W, é igual a

Provas
A utilização dos sistemas de instrumentação e de controle de processos possibilita a manutenção desses o mais próximo possível das condições desejadas.
Os sistemas de controle em malhas
Provas
Um instrumento utilizado para medir temperatura encontra-se a uma temperatura estacionária de 30 °C, apresentando uma constante de tempo de 0,5 min. No tempo inicial (t = 0), o instrumento é colocado em um sistema mantido a 70 °C. Após 0,5 min, a temperatura lida pelo instrumento, em °C, será de, aproximadamente,

Provas
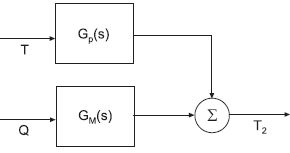
Um sistema é formado por dois tanques agitados, tanque 1 e tanque 2, com fornecimento de aquecimento ao tanque 1 com taxa Q. Um líquido entra no sistema a uma temperatura T e sai dos tanques com temperaturas T1 e T2, respectivamente. O comportamento térmico desse sistema pode ser representado na forma do diagrama de blocos apresentado abaixo.

O comportamento térmico desse sistema também pode ser descrito através da função de transferência
Provas
Caderno Container