Magna Concursos

Foram encontradas 1.540 questões.

787382 Ano: 2014
Disciplina: Estatística
Banca: CESPE / CEBRASPE
Orgão: TJ-SE
A produtividade do magistrado (Z) é um indicador que permite medir a celeridade dos processos judiciais. Ela é definida como uma razão na forma Z = Enunciado 787382-1 em que X representa o total anual de processos julgados pelos magistrados de certo tribunal e N, uma constante, representa o total de magistrados existentes nesse tribunal. Embora X seja uma variável aleatória discreta, ela pode ser aproximada por uma distribuição normal com média μ e desvio padrão σ.

Com base nessa situação hipotética, julgue os itens a seguir.

A produtividade do magistrado é uma variável aleatória que segue, aproximadamente, uma distribuição normal com média Enunciado 787382-2 de desvio padrão Enunciado 787382-3
 

Provas

Questão presente nas seguintes provas
787381 Ano: 2014
Disciplina: Estatística
Banca: CESPE / CEBRASPE
Orgão: TJ-SE
A produtividade do magistrado (Z) é um indicador que permite medir a celeridade dos processos judiciais. Ela é definida como uma razão na forma Z = Enunciado 787381-1 em que X representa o total anual de processos julgados pelos magistrados de certo tribunal e N, uma constante, representa o total de magistrados existentes nesse tribunal. Embora X seja uma variável aleatória discreta, ela pode ser aproximada por uma distribuição normal com média μ e desvio padrão σ.

Com base nessa situação hipotética, julgue os itens a seguir.

O indicador Z representa o número médio anual de processos julgados por um magistrado no referido tribunal.
 

Provas

Questão presente nas seguintes provas
787380 Ano: 2014
Disciplina: Estatística
Banca: CESPE / CEBRASPE
Orgão: TJ-SE
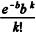
O núcleo de assistência jurídica de um fórum que presta assistência jurídica gratuita a pessoas carentes recebe diariamente X casos novos, conforme uma distribuição condicional na forma.

P (X = k|Y = b) = Enunciado 787380-1 em que k = 0, 1, 2, ..., b > 0 e Y segue uma distribuição exponencial com função de densidade f(y) = 2e-2y, em que y > 0.

Considerando essa situação hipotética, julgue os itens subsequentes.

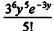
Considerando-se que, em certo dia, o núcleo tenha recebido 5 casos novos, é correto afirmar que a distribuição condicional Y|X = 5 segue a distribuição gamma na forma f(y|5) = Enunciado 787380-2
 

Provas

Questão presente nas seguintes provas
787379 Ano: 2014
Disciplina: Estatística
Banca: CESPE / CEBRASPE
Orgão: TJ-SE
O núcleo de assistência jurídica de um fórum que presta assistência jurídica gratuita a pessoas carentes recebe diariamente X casos novos, conforme uma distribuição condicional na forma.

P (X = k|Y = b) = Enunciado 787379-1 em que k = 0, 1, 2, ..., b > 0 e Y segue uma distribuição exponencial com função de densidade f(y) = 2e-2y, em que y > 0.

Considerando essa situação hipotética, julgue os itens subsequentes.

O desvio padrão da variável aleatória Y é igual a 2.
 

Provas

Questão presente nas seguintes provas
787378 Ano: 2014
Disciplina: Estatística
Banca: CESPE / CEBRASPE
Orgão: TJ-SE
O núcleo de assistência jurídica de um fórum que presta assistência jurídica gratuita a pessoas carentes recebe diariamente X casos novos, conforme uma distribuição condicional na forma.

P (X = k|Y = b) = Enunciado 787378-1 em que k = 0, 1, 2, ..., b > 0 e Y segue uma distribuição exponencial com função de densidade f(y) = 2e-2y, em que y > 0.

Considerando essa situação hipotética, julgue os itens subsequentes.

Se o valor b for desconhecido, a quantidade média diária de casos novos — E(X) — também será desconhecida.
 

Provas

Questão presente nas seguintes provas
787377 Ano: 2014
Disciplina: Estatística
Banca: CESPE / CEBRASPE
Orgão: TJ-SE
O núcleo de assistência jurídica de um fórum que presta assistência jurídica gratuita a pessoas carentes recebe diariamente X casos novos, conforme uma distribuição condicional na forma.

P (X = k|Y = b) = Enunciado 787377-1 em que k = 0, 1, 2, ..., b > 0 e Y segue uma distribuição exponencial com função de densidade f(y) = 2e-2y, em que y > 0.

Considerando essa situação hipotética, julgue os itens subsequentes.

O valor b representa a taxa diária de chegada de casos novos, sendo essa taxa o valor esperado da quantidade diária X condicionada ao evento Y = b, ou seja, E(X|Y = b) = b.
 

Provas

Questão presente nas seguintes provas
787376 Ano: 2014
Disciplina: Estatística
Banca: CESPE / CEBRASPE
Orgão: TJ-SE
O núcleo de assistência jurídica de um fórum que presta assistência jurídica gratuita a pessoas carentes recebe diariamente X casos novos, conforme uma distribuição condicional na forma.

P (X = k|Y = b) = Enunciado 787376-1 em que k = 0, 1, 2, ..., b > 0 e Y segue uma distribuição exponencial com função de densidade f(y) = 2e-2y, em que y > 0.

Considerando essa situação hipotética, julgue os itens subsequentes.

O coeficiente de correlação linear entre as variáveis X e Y é negativo.
 

Provas

Questão presente nas seguintes provas
787375 Ano: 2014
Disciplina: Estatística
Banca: CESPE / CEBRASPE
Orgão: TJ-SE
Nas estatísticas do Poder Judiciário, a taxa de congestionamento (X), que consiste em um indicador que permite medir a efetividade da movimentação processual de um tribunal, é uma variável aleatória contínua com função de densidade f(x) expressa por

Enunciado 787375-1

Com base nessas informações, julgue os próximos itens.

A média da taxa de congestionamento é inferior a 0,10 × β.
 

Provas

Questão presente nas seguintes provas
787374 Ano: 2014
Disciplina: Estatística
Banca: CESPE / CEBRASPE
Orgão: TJ-SE
Nas estatísticas do Poder Judiciário, a taxa de congestionamento (X), que consiste em um indicador que permite medir a efetividade da movimentação processual de um tribunal, é uma variável aleatória contínua com função de densidade f(x) expressa por

Enunciado 787374-1

Com base nessas informações, julgue os próximos itens.

O valor de β é superior a 450 e inferior a 500.
 

Provas

Questão presente nas seguintes provas
787373 Ano: 2014
Disciplina: Estatística
Banca: CESPE / CEBRASPE
Orgão: TJ-SE
Nas estatísticas do Poder Judiciário, a taxa de congestionamento (X), que consiste em um indicador que permite medir a efetividade da movimentação processual de um tribunal, é uma variável aleatória contínua com função de densidade f(x) expressa por

Enunciado 787373-1

Com base nessas informações, julgue os próximos itens.

A variável aleatória X segue uma distribuição especial denominada de Beta, que é, a priori, conjugada das distribuições geométrica e de Bernoulli
 

Provas

Questão presente nas seguintes provas