Foram encontradas 527 questões.
Os dados a seguir representam índices de preços para a manutenção de uma escola estadual. Uma amostra de suprimentos foi utilizada para representar os itens necessários para manutenção da escola. Os preços dos itens selecionados aparecem na coluna (1) da tabela, enquanto que as colunas (3), (4) e (5) mostram os preços nos anos de 2008, 2009 e 2010, respectivamente. Na coluna (2), aparecem as quantidades consumidas anualmente dos itens (Qi0)
(Dados Hipotéticos).

Considerando o método de números-índices compostos ponderados e tomando como base o preço no ano de 2008 (Pi0) assinale a alternativa que apresenta a afirmação correta.
Provas
Instrução: A tabela abaixo apresenta a Distribuição Normal Padrão.

Provas
Instrução: A tabela abaixo apresenta a Distribuição Normal Padrão.

Provas
Instrução: A tabela abaixo apresenta a Distribuição Normal Padrão.

Provas
Instrução: A tabela abaixo apresenta a Distribuição Normal Padrão.

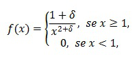
sendo que δ > 0.Considerando as informações acima, e tendo em vista as Leis dos Grandes Números, assinale a alternativa que apresenta a afirmação correta.
Provas
Instrução: A tabela abaixo apresenta a Distribuição Normal Padrão.

Provas
Instrução: A tabela abaixo apresenta a Distribuição Normal Padrão.

A função densidade de probabilidade conjunta das variáveis aleatórias X1, X2, X3 é dada por:
ƒ (x1, x2, x3 ) = 144x1x2 (1 – x3 ), se 0 ≤ xi ≤ 1, i = 1,2,3 e x1 + x2 + x3 ≤ 1.
Com base nisso, qual o valor de P (X1 + X2 ≤ ½ )?
Provas
Instrução: A tabela abaixo apresenta a Distribuição Normal Padrão.

Provas
Instrução: A tabela abaixo apresenta a Distribuição Normal Padrão.

Provas
Instrução: A tabela abaixo apresenta a Distribuição Normal Padrão.

Provas
Caderno Container