Foram encontradas 160 questões.
Numa reunião com estudantes de intercâmbio, verificou-se, por questionário, que 10% dos estudantes falavam espanhol, 40% falavam português e 3% falavam ambas as línguas.
Ainda baseado no enunciado da questão 35, qual é a probabilidade de que fale apenas uma destas línguas?
Provas
Considerando o enunciado da questão anterior (35), qual é a probabilidade de que fale pelo menos uma das duas línguas?
Provas
Numa reunião com estudantes de intercâmbio, verificou-se, por questionário, que 10% dos estudantes falavam espanhol, 40% falavam português e 3% falavam ambas as línguas. Escolhido um estudante ao acaso de entre todos os participantes, qual é a probabilidade de que não fale português?
Provas
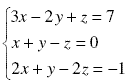
Classifique o sistema 
Provas
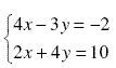
O conjunto solução do sistema
é:
Provas
Calcule o determinante de 
Provas
Sabendo que
obtenha as matrizes M e N, tais que 
Provas
p tem valor V, q tem valor F, r tem valor V. Determine o valor lógico das seguintes proposições e assinale a alternativa correta:
1.2. (p
q)
p ^ ~r 5.2. (p
~ r) →(~p
q)
Provas
p tem valor F, q tem valor F, r tem valor V. Determine o valor lógico das seguintes proposições e assinale a alternativa correta:
1.1. (p → q) ^ (q
r) 4.2. r → q
(p
r)
Provas

Suponha que Aladim não cumpriu as exigências feitas pelo pai. Sendo assim, qual das alternativas é a correta?
Provas
Caderno Container