Magna Concursos

Foram encontradas 400 questões.

Certa repartição pública têm três procuradores: Antônio, Bento e Carlos. Se Antônio veio trabalhar, o processo foi analisado. Se Bento veio trabalhar, o processo foi analisado e, se Carlos veio trabalhar, o processo não foi analisado. Se o processo foi analisado, é correto afirmar que:
 

Provas

Questão presente nas seguintes provas
Analisados 2300 processos em andamento verificou-se que 980 eram sobre pensão alimentícia, 860 eram sobre direitos trabalhistas e que 530 processos sobre nenhum dos dois. Nessas condições, e sabendo que pode haver, num mesmo processo, os dois assuntos, o total de processos que eram sobre somente um dos dois assuntos é igual a:
 

Provas

Questão presente nas seguintes provas
Considerando a sequencia lógica 2,3,2,3,4,6,12,18,48,72,..., então a soma dos dois próximos termos dessa sequencia representa o prazo, em dias, da expiração de um processo. Nessas condições, esse processo expira daqui:
 

Provas

Questão presente nas seguintes provas
Considere os conjuntos A = {0,2,3,5,6} ; B = {2,3,5,6,9} e C = {0,2,4,6}. Sabe-se que a soma de todos os elementos do conjunto [A ∩ (C – B)] representa o total de processos que necessitam de um parecer técnico. Nessas condições, o total de processos sem parecer técnico é:
 

Provas

Questão presente nas seguintes provas
Sendo p : A certidão foi elaborada e r: a publicação foi digitada, proposições lógicas, tem-se que (~p v r) ^(~r v p) é equivalente a:
 

Provas

Questão presente nas seguintes provas

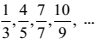
Sabe-se que , enunciado 402568-1 é uma sequencia lógica ilimitada. Desse modo, a soma entre os números da fração (numerador e denominador) que representa o 100° termo da sequencia representa a senha de acesso aos dados de um processo em andamento. Portanto, a senha de acesso deve ser o número:

 

Provas

Questão presente nas seguintes provas
402567 Ano: 2017
Disciplina: Raciocínio Lógico
Banca: IBFC
Orgão: TJ-PE
Provas:

Ana fez a seguinte afirmação: “Algum formando não foi à formatura, mas todos os professores foram”.


A afirmação que Ana fez é falsa se, e somente se, for verdadeira a seguinte afirmação:

 

Provas

Questão presente nas seguintes provas
Se p: o laudo foi elaborado e q: o parecer jurídico foi concluído, são duas proposições lógicas simples, então a proposição lógica: “Se o parecer jurídico não foi concluído, então o laudo foi elaborado” é falsa se, e somente se, a proposição:
 

Provas

Questão presente nas seguintes provas
Um assistente judiciário analisou, num primeiro dia de trabalho, 7 laudas de um processo com 785 laudas, num segundo dia analisou 3 laudas a mais do processo que no primeiro dia. Se a cada dia de trabalho esse assistente analisar 3 laudas a mais do processo que no dia anterior, então, após 15 dias de trabalho, o total de laudas do processo que ainda faltarão para serem analisados será igual a:
 

Provas

Questão presente nas seguintes provas

Quanto ao fenômeno da reversão no serviço público, com base no Estatuto dos Funcionários Públicos Civis do Estado de Pernambuco, analise os itens abaixo:

I. Reversão é o reingresso no serviço público de servidor aposentado somente quando são insubsistentes os motivos da aposentadoria.

II. A reversão, quando do interesse da Administração, poderá ocorrer através de ato de designação, cabendo ao servidor, pelos encargos do exercício ativo, a percepção de adicional de remuneração no valor de sessenta por cento dos proventos integrais referentes à retribuição normal do cargo em que se aposentou.

III. A reversão também é observada quando há interesse e requisição da Administração Pública, respeitando-se a opção do servidor.

IV. O tempo de designação do servidor revertido não será considerado para fins de cálculo do adicional por tempo de serviço a ser futuramente incorporado aos proventos.

Assinale a alternativa correta:

 

Provas

Questão presente nas seguintes provas