Foram encontradas 220 questões.
Provas
Na figura está representada uma viga simplesmente apoiada, com seção transversal constante, feita de material elástico e submetida à ação de um par de momentos fletores nas extremidades.

Assinale a alternativa que apresenta a expressão da flecha máxima produzida por esse par de momentos.
Provas
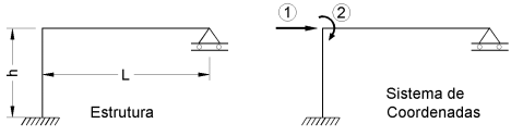
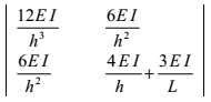
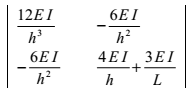
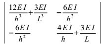
Na figura estão uma estrutura plana feita com barras do mesmo material e mesma seção transversal e o sistema de coordenadas. Admitindo que as barras sejam infinitamente rígidas ao esforço normal, assinale a alternativa com a matriz de rigidez correta.

Provas
- Gerenciamento, Planejamento e Controle de Obras
- Orçamento no Planejamento e Controle de Obras na Engenharia Civil

Na tabela abaixo estão apresentados os insumos que compõem a planilha de composição do custo unitário de um metro quadrado do serviço de fornecimento e instalação de piso cerâmico esmaltado 30x30, assentado com argamassa pré-fabricada de cimento colante.

Considere encargos sociais de 120%, BDI de 25% e que esse serviço será executado nos quartos 1 e 2. Assinale a alternativa que apresenta o preço de venda desse serviço.
Provas
Na figura abaixo está apresentada uma tela do AutoCad contendo um desenho.

Assinale a alternativa que apresenta a sequência de comandos utilizada para realizar o desenho indicado.
Provas
A ligação de um tirante de aço está esquematizada abaixo. Sabe-se que o valor da força P é 192 kN e que o parafuso da ligação possui diâmetro igual a 16 mm.

Assinale a alternativa que apresenta a tensão de cisalhamento no parafuso, com valor aproximado em MPa.
Provas
Na figura abaixo está esquematizada a ligação de uma bomba de recalque a ser instalada em um edifício.

A potência da bomba a ser instalada é:
Provas
Provas
Provas
Sobre o projeto das peças de concreto armado de acordo com a NBR 6118:2014, analise as afirmativas.
I - Os pilares não devem ter largura inferior a 12 cm, tampouco área inferior a 360 cm².
II - Para proporcionar o comportamento dútil nas vigas das estruturas usuais, a posição relativa da linha neutra x/d deve limitar-se a 0,5.
III - O espaçamento máximo entre os estribos dos pilares deve ser de 12⌀, onde ⌀ é o diâmetro da armadura longitudinal do pilar.
IV - O diâmetro mínimo das armaduras longitudinais dos pilares deve ser 10 mm.
Está correto o que se afirma em
Provas
Caderno Container