Foram encontradas 1.018 questões.
Julgue o item seguinte, acerca dos sistemas e das unidades de medidas.
Se um dispositivo mecânico apresentar tempo de acesso de 7 ms e um dispositivo elétrico operar com taxas de 7.000 ns, é correto concluir, com base apenas nessas informações, que o tempo de acesso do dispositivo elétrico é mil vezes inferior ao do mecânico.
Provas
Questão presente nas seguintes provas
1879481
Ano: 2015
Disciplina: Engenharia de Telecomunicações
Banca: CESPE / CEBRASPE
Orgão: TELEBRAS
Disciplina: Engenharia de Telecomunicações
Banca: CESPE / CEBRASPE
Orgão: TELEBRAS
Julgue o item seguinte, acerca de telecomunicações e de sistemas de comunicação.
A figura a seguir mostra, corretamente, o espectro de uma modulação AM em que as bandas superior e inferior estão sendo transmitidas, mas a portadora está suprimida.

Provas
Questão presente nas seguintes provas
1879480
Ano: 2015
Disciplina: Engenharia de Telecomunicações
Banca: CESPE / CEBRASPE
Orgão: TELEBRAS
Disciplina: Engenharia de Telecomunicações
Banca: CESPE / CEBRASPE
Orgão: TELEBRAS
Julgue o item seguinte, acerca de telecomunicações e de sistemas de comunicação.
O efeito de captura em um sistema FM (frequency modulation) ocorre quando há sistemas que modulam em FM ou ruído em frequências idênticas ou muito próximas à estação desejada. Nesse caso, o receptor responde ao sinal de maior potência e ignora os demais.
Provas
Questão presente nas seguintes provas
1879479
Ano: 2015
Disciplina: Engenharia de Telecomunicações
Banca: CESPE / CEBRASPE
Orgão: TELEBRAS
Disciplina: Engenharia de Telecomunicações
Banca: CESPE / CEBRASPE
Orgão: TELEBRAS
Julgue o item seguinte, acerca de telecomunicações e de sistemas de comunicação.
Caso a modulação de amplitude inclua a transmissão da portadora, a demodulação poderá ser realizada utilizando-se um detector coerente, como um detector de envoltória.
Provas
Questão presente nas seguintes provas
1879478
Ano: 2015
Disciplina: Engenharia de Telecomunicações
Banca: CESPE / CEBRASPE
Orgão: TELEBRAS
Disciplina: Engenharia de Telecomunicações
Banca: CESPE / CEBRASPE
Orgão: TELEBRAS
Julgue o item seguinte, acerca de telecomunicações e de sistemas de comunicação.
Na modulação angular, a frequência instantânea ou a fase da portadora senoidal varia de acordo com o sinal de mensagem.
Provas
Questão presente nas seguintes provas
1879477
Ano: 2015
Disciplina: TI - Organização e Arquitetura dos Computadores
Banca: CESPE / CEBRASPE
Orgão: TELEBRAS
Disciplina: TI - Organização e Arquitetura dos Computadores
Banca: CESPE / CEBRASPE
Orgão: TELEBRAS
A respeito das memórias principais dos microprocessadores, julgue o item a seguir.
A hierarquização de memórias pelo tempo de acesso faz que a memória com maior velocidade de acesso esteja localizada no nível mais baixo da hierarquia, ou seja, mais distante do processador, a fim de melhorar o desempenho do sistema.
Provas
Questão presente nas seguintes provas
1879476
Ano: 2015
Disciplina: TI - Organização e Arquitetura dos Computadores
Banca: CESPE / CEBRASPE
Orgão: TELEBRAS
Disciplina: TI - Organização e Arquitetura dos Computadores
Banca: CESPE / CEBRASPE
Orgão: TELEBRAS
A respeito das memórias principais dos microprocessadores, julgue o item a seguir.
No mapeamento direto, a memória principal é subdividida de maneira que um bloco dessa memória principal esteja sempre associado a uma mesma célula na memória cache.
Provas
Questão presente nas seguintes provas
1879475
Ano: 2015
Disciplina: TI - Organização e Arquitetura dos Computadores
Banca: CESPE / CEBRASPE
Orgão: TELEBRAS
Disciplina: TI - Organização e Arquitetura dos Computadores
Banca: CESPE / CEBRASPE
Orgão: TELEBRAS
A respeito das memórias principais dos microprocessadores, julgue o item a seguir.
A memória cache se baseia nos princípios de localidade temporal e espacial. A localidade espacial diz respeito à alta probabilidade de que o processador volte a acessar novamente uma mesma palavra na memória principal.
Provas
Questão presente nas seguintes provas
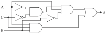
Considere o circuito digital mostrado na figura a seguir.

A respeito desse circuito digital, julgue o item subsecutivo.
Se A = 1, B = 1 e C = 0, então a saída S será igual a 0.
Provas
Questão presente nas seguintes provas
Considere o circuito digital mostrado na figura a seguir.

A respeito desse circuito digital, julgue o item subsecutivo.
Esse circuito pode ser simplificado de modo a se tornar um circuito formado por uma porta inversora, uma porta OR de duas entradas e uma porta AND de duas entradas.
Provas
Questão presente nas seguintes provas
Cadernos
Caderno Container