Foram encontradas 351 questões.
Provas
Em 31/12/2013, o patrimônio líquido da Cia. Alfa apresentava a seguinte composição, em reais:
|
Capital subscrito |
1.000.000 |
|
Capital a integralizar |
(300.000) |
|
Reserva legal |
140.000 |
|
Reserva estatutária |
50.000 |
|
Total do patrimônio líquido |
890.000 |
Durante o exercício de 2014 foram integralizados R$ 100.000 ao capital social da Cia. Alfa, em dinheiro, e o lucro líquido apurado pela companhia em 31/12/2014 foi de R$ 500.000. Considerando que não houve constituição de reserva para contingências nem de reserva de lucros a realizar neste exercício, e que o estatuto da companhia é omisso quanto aos dividendos obrigatórios, seus acionistas terão direito a receber como dividendo obrigatório relativo ao exercício de 2014 a importância de:
Provas
- Hidráulica e HidrologiaHidráulica na Engenharia Civil
- Projeto e Execução de Rodovias e FerroviasDrenagem

A tabela apresenta os dados relacionados ao uso do solo na sub-bacia.
Tipo de uso do solo Área (Km2) Coeficiente de deflúvio (%)
Floresta 0,8 28
Gramínea 1,4 42
Agrícola 1 25
Urbano
Pavimentado 1,8 85
Sabendo-se que a intensidade máxima média da precipitação sobre toda a área da bacia é de 30 mm/h, a vazão de dimensionamento do vão da ponte pelo Método Racional é:
Provas
- Hidráulica e HidrologiaHidráulica na Engenharia Civil
- Projeto e Execução de Rodovias e FerroviasDrenagem
Intervalo de tempo (h) 0 - 1 1 - 2 2 - 3 3 - 4
Precipitação (mm) 3,5 7,4 12,5 4,8
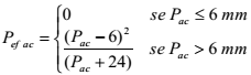
Considere que, pelo método de Soil Conservation Service (SCS), a relação entre a precipitação efetiva acumulada e a precipitação acumulada seja dada por:
A parcela da precipitação escoada superficialmente durante a terceira hora (em mm) é de:
Provas

De acordo com os critérios de classificação das areias e siltes arenosos quanto à consistência ou compacidade, o solo da segunda camada recebe a designação de:
Provas

Considerando o fluxo de caixa mostrado, o valor presente líquido do projeto é:
Provas
Provas
Provas
X: Conjunto de métodos e processos que, através de medições de ângulos horizontais e verticais, de distâncias horizontais, verticais e inclinadas, com instrumental adequado à exatidão pretendida, primordialmente, implanta e materializa pontos de apoio no terreno, determinando suas coordenadas topográficas;
Y: Conjunto de operações topográficas clássicas (poligonais, irradiações, interseções, ou por ordenadas sobre uma linha-base), destinado à determinação das posições planimétrica e/ou altimétrica dos pontos, que vão permitir a representação do terreno a ser levantado topograficamente a partir do apoio topográfico.
Analisando-se cada um deles, conclui-se que:
Provas
Provas
Caderno Container