Foram encontradas 265 questões.
Utilizando o método prospectivo, a reserva matemática de um seguro contra morte imediato e vitalício para a pessoa de idade x, com prêmio parcelado de forma mensal, antecipada, imediata e vitalícia, após t anos de vigência, pode ser indicado por
Provas
Uma pessoa de idade x deseja contratar um Plano Individual de Pensão Anual para seu cônjuge e filhos; a formulação para determinação do Px da idade de contratação, no regime de Repartição de Capitais de Cobertura, é dado por:
Provas
Provas
Provas
Tomando por base uma pessoa de 25 anos para um Seguro de Sobrevivência, que terá um custo de angariação representado por βu, desembolsado na data da contratação. Sendo os prêmios pagos no início de cada mês, de forma imediata e dentro dos próximos 3 (três) anos, o fracionamento deste carregamento será expresso por:
Provas
Seja X1, X2, ... uma sucessão de variáveis aleatórias identicamente distribuídas, cada uma com média
e variância ¶2, tendo a propriedade de que qualquer número finito delas são independentes. Então, para cada z
![]()
onde Þ(z) é uma função de distribuição:
Provas
Usando uma tábua de comutação com funções elaboradas de forma subanual – mensal, a formulação do P(12) x , cujo fracionamento será no início de cada mês e durante o período de cobertura - n, para o benefício a ser recebido pelos beneficiários de uma única vez, caso a pessoa (segurado) não atinja a idade "x+n", é igual a:
Provas
Provas
Provas
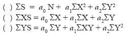
Tendo que a sinistralidade (S) de uma carteira de automóveis de "n" observações foi avaliada em função das variáveis: X, relativa ao modelo do veículo, e Y, perfil do condutor, resultando os pontos: (X1, Y1, S1), (X2, Y2, S2), ..., (Xn, Yn, Sn), podendo S ser descrita pela expressão:
S = a0 + a1X + a2Y.
Avaliando S em função de valores atribuídos a X e Y, falando- se de um plano de mínimo quadrado de ajustamento de dados, as equações normais correspondentes ao plano de mínimo quadrado são dadas por:

Provas
Caderno Container