Foram encontradas 409 questões.
Texto para as questões 53 e 54

A situação matemática descrita no texto caracteriza a situação denominada
Provas
Texto para as questões 53 e 54

A atividade descrita constitui uma situação matemática em que a estratégia ótima é alcançada utilizando-se o conhecimento de que entre todos os retângulos de mesmo perímetro n, aquele que possui a maior área é o
Provas
Texto para as questões 51 e 52

A relação professor-aluno observada na situação descrita no texto acima caracteriza o denominado contrato didático, porque
Provas
Texto para as questões 51 e 52

Na situação descrita, o conhecimento matemático ainda não dominado pelos alunos é
Provas
As seguintes afirmações foram feitas por alunos ao realizarem uma atividade propostas pelo professor:
I
.
II
.
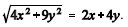
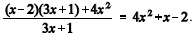
III Se x e y são números irracionais, então x + y é um número irracional.
IV
.
Acerca dessas afirmações, assinale a opção correta.
Provas
Texto para as questões 48 e 49

A construção correta de tabela, utilizando uma planilha eletrônica, consistindo de 5 colunas contendo, em cada coluna, os valores de x, f (x), g (x), (fºg)(x) e (gºf)(x) — fºg e gBf são, respectivamente, as composições de f com g e de g com f —, possibilitaria que os alunos inferirem que, para x > 2,
Provas
Texto para as questões 48 e 49

Considerando que os gráficos foram construídos corretamente, é correto afirmar que os gráficos de f e de g são simétricos em relação à reta
Provas
Texto para as questões 46 e 47

Para resolver o item Q do problema, os alunos foram ao laboratório de informática e, com o auxílio de um software gráfico e de uma planilha, fizeram uma tabela e o gráfico da função R para x no intervalo [0, 200]. Essa atividade, possibilitou aos alunos observarem que
Provas
Na sala da aula, a razão áurea pode ser utilizada como introdução ao estudo dos números irracionais e da equação do 2.º grau. Considere que C seja um ponto do segmento AB que divide-o em média extrema razão isto é,
e sejam a a medida do segmento AB e b a medida do segmento CB. Então b é a raiz positiva de uma equação do 2.º grau em que o valor absoluto da diferença entre as duas raízes é igual a
Provas

Portinari utilizou a razão áurea para compor harmoniosamente alguns de seus quadros. Para isto, ele se utilizou de um instrumento análogo ao representado na figura a seguir.

Considerando que os triângulos AFC, AEB e CDB sejam isósceles, de bases AC, AB e CB, respectivamente, e que
, assinale a opção incorreta.
Provas
Caderno Container