Foram encontradas 419 questões.
Enfarte: genética versus hábitos
Riad Younes
Desde o fim da década de 1930, a comunidade médica detectou com clareza maior concentração de casos de enfarte em algumas famílias, levando à teoria da predisposição genética para a ocorrência de doenças cardiovasculares. Parentes de pacientes que foram diagnosticados com enfarte ou derrame tinham maiores chances de eles mesmos apresentarem o quadro durante sua vida.
Nas décadas subsequentes, vários estudos correlacionaram os hábitos dos pacientes como fatores de risco para doenças cardiovasculares. Sedentarismo, tabagismo, obesidade, entre outros, aumentam drasticamente as chances de enfarte.
Depois, vários cientistas passaram a estudar a correlação dos riscos genéticos com os comportamentais, na tentativa de avaliar o peso que cada risco tinha na determinação do destino do coração dos indivíduos. Dúvidas como se filhos de pacientes com enfarte, com genética comprometida, teriam algum benefício em modificar seus hábitos pessoais e controlar os outros fatores de risco, ou seriam predestinados ao desastre independentemente de qualquer manobra.
Pesquisadores da Universidade de Harvard, em Boston, liderados pelo doutor Amit Khera, concluíram recentemente um estudo extenso que envolveu mais de 55 mil pessoas em vários países e que avaliou a relação entre fatores genéticos e hábitos na det erminação do risco de enfarte durante dez anos de seguimento.
O estudo foi publicado esta semana na prestigiosa revista médica New England Journal of Medicine. Os especialistas analisaram o perfil genético e os hábitos pessoais dos voluntários e classificaram seus achados em categorias de baixo risco ou favorável, risco intermediário ou elevado, ou desfavorável.

Os resultados do estudo deixaram evidente a relação direta entre aumento do número de fatores de risco ligados ao estilo de vida com a elevação do risco de enfarte em dez anos. Também ficou clara a correlação entre alterações genéticas detectadas no Projeto Genoma e as chances de enfarte.
O mais interessante, nesse estudo, foi a total independência dos riscos genéticos daqueles relativos ao estilo de vida. Em outras palavras, mesmo as pessoas com alto risco genético e familiar podem beneficiar-se do controle eficiente da obesidade, do tabagismo, do sedentarismo e do consumo regular de dieta nociva.
As pessoas consideradas de alto risco genético, que praticam hábitos saudáveis, tiveram suas chances de enfarte reduzidas pela metade, independentemente de medicamentos ou outras manobras químicas para controle do colesterol. O gráfico mostra o impacto de cada fator sobre cada grupo de risco genético.
Os cientistas recomendam para todas as pessoas, principalmente para aquelas co m carga genética desfavorável, a aderência intensiva a programas de controle dos hábitos deletérios. A orientação médica é fundamental para evitar enfartes e derrames de forma significativa. Vale a pena insistir.
Disponível em: <www.cartacapital.com.br>
Provas
Enfarte: genética versus hábitos
Riad Younes
Desde o fim da década de 1930, a comunidade médica detectou com clareza maior concentração de casos de enfarte em algumas famílias, levando à teoria da predisposição genética para a ocorrência de doenças cardiovasculares. Parentes de pacientes que foram diagnosticados com enfarte ou derrame tinham maiores chances de eles mesmos apresentarem o quadro durante sua vida.
Nas décadas subsequentes, vários estudos correlacionaram os hábitos dos pacientes como fatores de risco para doenças cardiovasculares. Sedentarismo, tabagismo, obesidade, entre outros, aumentam drasticamente as chances de enfarte.
Depois, vários cientistas passaram a estudar a correlação dos riscos genéticos com os comportamentais, na tentativa de avaliar o peso que cada risco tinha na determinação do destino do coração dos indivíduos. Dúvidas como se filhos de pacientes com enfarte, com genética comprometida, teriam algum benefício em modificar seus hábitos pessoais e controlar os outros fatores de risco, ou seriam predestinados ao desastre independentemente de qualquer manobra.
Pesquisadores da Universidade de Harvard, em Boston, liderados pelo doutor Amit Khera, concluíram recentemente um estudo extenso que envolveu mais de 55 mil pessoas em vários países e que avaliou a relação entre fatores genéticos e hábitos na det erminação do risco de enfarte durante dez anos de seguimento.
O estudo foi publicado esta semana na prestigiosa revista médica New England Journal of Medicine. Os especialistas analisaram o perfil genético e os hábitos pessoais dos voluntários e classificaram seus achados em categorias de baixo risco ou favorável, risco intermediário ou elevado, ou desfavorável.

Os resultados do estudo deixaram evidente a relação direta entre aumento do número de fatores de risco ligados ao estilo de vida com a elevação do risco de enfarte em dez anos. Também ficou clara a correlação entre alterações genéticas detectadas no Projeto Genoma e as chances de enfarte.
O mais interessante, nesse estudo, foi a total independência dos riscos genéticos daqueles relativos ao estilo de vida. Em outras palavras, mesmo as pessoas com alto risco genético e familiar podem beneficiar-se do controle eficiente da obesidade, do tabagismo, do sedentarismo e do consumo regular de dieta nociva.
As pessoas consideradas de alto risco genético, que praticam hábitos saudáveis, tiveram suas chances de enfarte reduzidas pela metade, independentemente de medicamentos ou outras manobras químicas para controle do colesterol. O gráfico mostra o impacto de cada fator sobre cada grupo de risco genético.
Os cientistas recomendam para todas as pessoas, principalmente para aquelas co m carga genética desfavorável, a aderência intensiva a programas de controle dos hábitos deletérios. A orientação médica é fundamental para evitar enfartes e derrames de forma significativa. Vale a pena insistir.
Disponível em: <www.cartacapital.com.br>
Provas
Enfarte: genética versus hábitos
Riad Younes
Desde o fim da década de 1930, a comunidade médica detectou com clareza maior concentração de casos de enfarte em algumas famílias, levando à teoria da predisposição genética para a ocorrência de doenças cardiovasculares. Parentes de pacientes que foram diagnosticados com enfarte ou derrame tinham maiores chances de eles mesmos apresentarem o quadro durante sua vida.
Nas décadas subsequentes, vários estudos correlacionaram os hábitos dos pacientes como fatores de risco para doenças cardiovasculares. Sedentarismo, tabagismo, obesidade, entre outros, aumentam drasticamente as chances de enfarte.
Depois, vários cientistas passaram a estudar a correlação dos riscos genéticos com os comportamentais, na tentativa de avaliar o peso que cada risco tinha na determinação do destino do coração dos indivíduos. Dúvidas como se filhos de pacientes com enfarte, com genética comprometida, teriam algum benefício em modificar seus hábitos pessoais e controlar os outros fatores de risco, ou seriam predestinados ao desastre independentemente de qualquer manobra.
Pesquisadores da Universidade de Harvard, em Boston, liderados pelo doutor Amit Khera, concluíram recentemente um estudo extenso que envolveu mais de 55 mil pessoas em vários países e que avaliou a relação entre fatores genéticos e hábitos na det erminação do risco de enfarte durante dez anos de seguimento.
O estudo foi publicado esta semana na prestigiosa revista médica New England Journal of Medicine. Os especialistas analisaram o perfil genético e os hábitos pessoais dos voluntários e classificaram seus achados em categorias de baixo risco ou favorável, risco intermediário ou elevado, ou desfavorável.

Os resultados do estudo deixaram evidente a relação direta entre aumento do número de fatores de risco ligados ao estilo de vida com a elevação do risco de enfarte em dez anos. Também ficou clara a correlação entre alterações genéticas detectadas no Projeto Genoma e as chances de enfarte.
O mais interessante, nesse estudo, foi a total independência dos riscos genéticos daqueles relativos ao estilo de vida. Em outras palavras, mesmo as pessoas com alto risco genético e familiar podem beneficiar-se do controle eficiente da obesidade, do tabagismo, do sedentarismo e do consumo regular de dieta nociva.
As pessoas consideradas de alto risco genético, que praticam hábitos saudáveis, tiveram suas chances de enfarte reduzidas pela metade, independentemente de medicamentos ou outras manobras químicas para controle do colesterol. O gráfico mostra o impacto de cada fator sobre cada grupo de risco genético.
Os cientistas recomendam para todas as pessoas, principalmente para aquelas co m carga genética desfavorável, a aderência intensiva a programas de controle dos hábitos deletérios. A orientação médica é fundamental para evitar enfartes e derrames de forma significativa. Vale a pena insistir.
Disponível em: <www.cartacapital.com.br>
Provas
Enfarte: genética versus hábitos
Riad Younes
Desde o fim da década de 1930, a comunidade médica detectou com clareza maior concentração de casos de enfarte em algumas famílias, levando à teoria da predisposição genética para a ocorrência de doenças cardiovasculares. Parentes de pacientes que foram diagnosticados com enfarte ou derrame tinham maiores chances de eles mesmos apresentarem o quadro durante sua vida.
Nas décadas subsequentes, vários estudos correlacionaram os hábitos dos pacientes como fatores de risco para doenças cardiovasculares. Sedentarismo, tabagismo, obesidade, entre outros, aumentam drasticamente as chances de enfarte.
Depois, vários cientistas passaram a estudar a correlação dos riscos genéticos com os comportamentais, na tentativa de avaliar o peso que cada risco tinha na determinação do destino do coração dos indivíduos. Dúvidas como se filhos de pacientes com enfarte, com genética comprometida, teriam algum benefício em modificar seus hábitos pessoais e controlar os outros fatores de risco, ou seriam predestinados ao desastre independentemente de qualquer manobra.
Pesquisadores da Universidade de Harvard, em Boston, liderados pelo doutor Amit Khera, concluíram recentemente um estudo extenso que envolveu mais de 55 mil pessoas em vários países e que avaliou a relação entre fatores genéticos e hábitos na det erminação do risco de enfarte durante dez anos de seguimento.
O estudo foi publicado esta semana na prestigiosa revista médica New England Journal of Medicine. Os especialistas analisaram o perfil genético e os hábitos pessoais dos voluntários e classificaram seus achados em categorias de baixo risco ou favorável, risco intermediário ou elevado, ou desfavorável.

Os resultados do estudo deixaram evidente a relação direta entre aumento do número de fatores de risco ligados ao estilo de vida com a elevação do risco de enfarte em dez anos. Também ficou clara a correlação entre alterações genéticas detectadas no Projeto Genoma e as chances de enfarte.
O mais interessante, nesse estudo, foi a total independência dos riscos genéticos daqueles relativos ao estilo de vida. Em outras palavras, mesmo as pessoas com alto risco genético e familiar podem beneficiar-se do controle eficiente da obesidade, do tabagismo, do sedentarismo e do consumo regular de dieta nociva.
As pessoas consideradas de alto risco genético, que praticam hábitos saudáveis, tiveram suas chances de enfarte reduzidas pela metade, independentemente de medicamentos ou outras manobras químicas para controle do colesterol. O gráfico mostra o impacto de cada fator sobre cada grupo de risco genético.
Os cientistas recomendam para todas as pessoas, principalmente para aquelas co m carga genética desfavorável, a aderência intensiva a programas de controle dos hábitos deletérios. A orientação médica é fundamental para evitar enfartes e derrames de forma significativa. Vale a pena insistir.
Disponível em: <www.cartacapital.com.br>
Provas
A entrevista clínica não é uma conversa como outra qualquer!
Celmo Celeno Porto
Entende-se qualquer entrevista como uma técnica de trabalho, durante a qual duas pessoas, em concordância formal ou implícita, encontram -se para uma conversa, cuja característica principal é estar relacionada com os objetivos de ambos.
É tão especial a entrevista clínica que ela tem nome diferente – anamnese. O papel de uma dessas pessoas – no caso, o médico ou o estudante de medicina – é coletar informações, enquanto o da outra – o paciente – é de fornecê-las. Diferentemente de outras entrevistas, no caso da médica, o objetivo não fica restrito a obter informações. Outro objetivo é estabelecer um bom relacionamento entre o médico e o paciente, condição fundamental para uma boa prática médica.
Há muitas maneiras de se fazer uma entrevista; melhor dizendo, há diferentes técnicas , mas em todas devem ser destacadas a arte do relacionamento e o processo comunicacional. Primeiramente, deve ficar claro que uma entrevista médica não é uma conversa como qualquer outra! Além da capacidade de dialogar – falar e ouvir, mais ouvir do que falar –, o médico precisa saber ler nas entrelinhas, observar gestos, para compreender todos os significados contidos nas respostas.
Roteiros são úteis, mas é necessário saber usá-los com a flexibilidade exigida pelas peculiaridades de cada paciente. Raciocínio clínico é a técnica e a arte de organizar os dados que vão surgindo, alguns significativos por si mesmos, outros a exigir novas indagações, que vão tornando compreensível o relato do paciente.
Não se nasce sabendo fazer uma entrevista médica. O que se aprende espontaneamente é conversar. Entrevistar um paciente exige conhecimentos específicos e intenso treinamento, tal como o aprendizado de qualquer habilidade. Os estudantes, às vezes, confundem ser "bom de conversa" com saber realizar uma anamnese. Facilidade para entabular uma conversação pode até ajudar, mas não é tudo.
Uma questão relevante, mas nem sempre considerada, é o registro dos dados obtidos durante a entrevista. Anotações, do próprio punho, das informações mais importantes é a maneira habitual. Contudo, cresce cada vez mais a utilização de computadores. A gravação de entrevistas, que esteve em moda há alguns anos, praticamente está abolida na prática médica, tornando-se restrita a alguns tipos de pesquisa. Não é proibido "digitar" as informações obtidas na anamnese; no entanto, a atenção exagerada ao computador é nociva. Não foram poucos os pacientes que me disseram ter abandonado um médico porque "ele tinha sua atenção inteiramente voltada para o computador".
Não há necessidade de descrição minuciosa de todas as informações, a não ser na fase em que o estudante está fazendo seu treinamento inicial. É conveniente registrar reações imprevistas, informações não verbais, gestos ou expressões faciais. Basta uma palavra ou uma frase, como "olhos lacrimejaram", "expressão de espanto", "gestos de impaciência", para registrar uma informação, sem necessidade de descrevê-la, fato que pode se revelar um dos mais importantes de uma entrevista. Ao final da anamnese, é interessante que se faça para o paciente um resumo das informações obtidas, criando oportunidade para correções ou acréscimos.
Portanto, fazer entrevista é uma arte que se aprimora com o tempo e à medida que se ganha experiência, mas ela só floresce verdadeiramente quando há um verdadeiro interesse em estabelecer uma boa comunicação com paciente.
Em uma entrevista clínica, parte das regras sociais de etiqueta não é aplicada. A conversa é centrada no paciente e, por isso, além de outros motivos, é considerada uma relação assimétrica, com características próprias: ausência de intimidade – uma condição que é essencial –, objetivos específicos, limite de tempo, locais preestabelecidos. Além disso, a frequência dos encontros é muito variável, podendo restringir-se a uma única vez ou repetidas vezes ao longo dos anos.
O primeiro encontro tem um significado especial e dele pode depender o sucesso ou o fracasso de um tratamento. O primeiro olhar, as primeiras palavras, os primeiros gestos podem ser decisivos na relação do médico com o paciente. Tanto pode ser uma ponte entre eles, por meio da qual vão transitar informações e emoções, como um muro que obstrui completamente a comunicação entre um e outro. Essa é uma das características mais evidentes de uma medicina de má qualidade.
Por fim, é essencial saber considerar a entrevista como principal elemento que estabelece o relacionamento entre duas pessoas. O sucesso de uma entrevista depende justamente da qualidade do relacionamento que o médico é capaz de estabelecer com o paciente. Em outras palavras: o que precisa ser compartilhado é o sentimento de compreensão e confiança mútua.
Disponível em: <http://www.rmmg.or>
Provas
A entrevista clínica não é uma conversa como outra qualquer!
Celmo Celeno Porto
Entende-se qualquer entrevista como uma técnica de trabalho, durante a qual duas pessoas, em concordância formal ou implícita, encontram -se para uma conversa, cuja característica principal é estar relacionada com os objetivos de ambos.
É tão especial a entrevista clínica que ela tem nome diferente – anamnese. O papel de uma dessas pessoas – no caso, o médico ou o estudante de medicina – é coletar informações, enquanto o da outra – o paciente – é de fornecê-las. Diferentemente de outras entrevistas, no caso da médica, o objetivo não fica restrito a obter informações. Outro objetivo é estabelecer um bom relacionamento entre o médico e o paciente, condição fundamental para uma boa prática médica.
Há muitas maneiras de se fazer uma entrevista; melhor dizendo, há diferentes técnicas , mas em todas devem ser destacadas a arte do relacionamento e o processo comunicacional. Primeiramente, deve ficar claro que uma entrevista médica não é uma conversa como qualquer outra! Além da capacidade de dialogar – falar e ouvir, mais ouvir do que falar –, o médico precisa saber ler nas entrelinhas, observar gestos, para compreender todos os significados contidos nas respostas.
Roteiros são úteis, mas é necessário saber usá-los com a flexibilidade exigida pelas peculiaridades de cada paciente. Raciocínio clínico é a técnica e a arte de organizar os dados que vão surgindo, alguns significativos por si mesmos, outros a exigir novas indagações, que vão tornando compreensível o relato do paciente.
Não se nasce sabendo fazer uma entrevista médica. O que se aprende espontaneamente é conversar. Entrevistar um paciente exige conhecimentos específicos e intenso treinamento, tal como o aprendizado de qualquer habilidade. Os estudantes, às vezes, confundem ser "bom de conversa" com saber realizar uma anamnese. Facilidade para entabular uma conversação pode até ajudar, mas não é tudo.
Uma questão relevante, mas nem sempre considerada, é o registro dos dados obtidos durante a entrevista. Anotações, do próprio punho, das informações mais importantes é a maneira habitual. Contudo, cresce cada vez mais a utilização de computadores. A gravação de entrevistas, que esteve em moda há alguns anos, praticamente está abolida na prática médica, tornando-se restrita a alguns tipos de pesquisa. Não é proibido "digitar" as informações obtidas na anamnese; no entanto, a atenção exagerada ao computador é nociva. Não foram poucos os pacientes que me disseram ter abandonado um médico porque "ele tinha sua atenção inteiramente voltada para o computador".
Não há necessidade de descrição minuciosa de todas as informações, a não ser na fase em que o estudante está fazendo seu treinamento inicial. É conveniente registrar reações imprevistas, informações não verbais, gestos ou expressões faciais. Basta uma palavra ou uma frase, como "olhos lacrimejaram", "expressão de espanto", "gestos de impaciência", para registrar uma informação, sem necessidade de descrevê-la, fato que pode se revelar um dos mais importantes de uma entrevista. Ao final da anamnese, é interessante que se faça para o paciente um resumo das informações obtidas, criando oportunidade para correções ou acréscimos.
Portanto, fazer entrevista é uma arte que se aprimora com o tempo e à medida que se ganha experiência, mas ela só floresce verdadeiramente quando há um verdadeiro interesse em estabelecer uma boa comunicação com paciente.
Em uma entrevista clínica, parte das regras sociais de etiqueta não é aplicada. A conversa é centrada no paciente e, por isso, além de outros motivos, é considerada uma relação assimétrica, com características próprias: ausência de intimidade – uma condição que é essencial –, objetivos específicos, limite de tempo, locais preestabelecidos. Além disso, a frequência dos encontros é muito variável, podendo restringir-se a uma única vez ou repetidas vezes ao longo dos anos.
O primeiro encontro tem um significado especial e dele pode depender o sucesso ou o fracasso de um tratamento. O primeiro olhar, as primeiras palavras, os primeiros gestos podem ser decisivos na relação do médico com o paciente. Tanto pode ser uma ponte entre eles, por meio da qual vão transitar informações e emoções, como um muro que obstrui completamente a comunicação entre um e outro. Essa é uma das características mais evidentes de uma medicina de má qualidade.
Por fim, é essencial saber considerar a entrevista como principal elemento que estabelece o relacionamento entre duas pessoas. O sucesso de uma entrevista depende justamente da qualidade do relacionamento que o médico é capaz de estabelecer com o paciente. Em outras palavras: o que precisa ser compartilhado é o sentimento de compreensão e confiança mútua.
Disponível em: <http://www.rmmg.or>
Provas
A entrevista clínica não é uma conversa como outra qualquer!
Celmo Celeno Porto
Entende-se qualquer entrevista como uma técnica de trabalho, durante a qual duas pessoas, em concordância formal ou implícita, encontram -se para uma conversa, cuja característica principal é estar relacionada com os objetivos de ambos.
É tão especial a entrevista clínica que ela tem nome diferente – anamnese. O papel de uma dessas pessoas – no caso, o médico ou o estudante de medicina – é coletar informações, enquanto o da outra – o paciente – é de fornecê-las. Diferentemente de outras entrevistas, no caso da médica, o objetivo não fica restrito a obter informações. Outro objetivo é estabelecer um bom relacionamento entre o médico e o paciente, condição fundamental para uma boa prática médica.
Há muitas maneiras de se fazer uma entrevista; melhor dizendo, há diferentes técnicas , mas em todas devem ser destacadas a arte do relacionamento e o processo comunicacional. Primeiramente, deve ficar claro que uma entrevista médica não é uma conversa como qualquer outra! Além da capacidade de dialogar – falar e ouvir, mais ouvir do que falar –, o médico precisa saber ler nas entrelinhas, observar gestos, para compreender todos os significados contidos nas respostas.
Roteiros são úteis, mas é necessário saber usá-los com a flexibilidade exigida pelas peculiaridades de cada paciente. Raciocínio clínico é a técnica e a arte de organizar os dados que vão surgindo, alguns significativos por si mesmos, outros a exigir novas indagações, que vão tornando compreensível o relato do paciente.
Não se nasce sabendo fazer uma entrevista médica. O que se aprende espontaneamente é conversar. Entrevistar um paciente exige conhecimentos específicos e intenso treinamento, tal como o aprendizado de qualquer habilidade. Os estudantes, às vezes, confundem ser "bom de conversa" com saber realizar uma anamnese. Facilidade para entabular uma conversação pode até ajudar, mas não é tudo.
Uma questão relevante, mas nem sempre considerada, é o registro dos dados obtidos durante a entrevista. Anotações, do próprio punho, das informações mais importantes é a maneira habitual. Contudo, cresce cada vez mais a utilização de computadores. A gravação de entrevistas, que esteve em moda há alguns anos, praticamente está abolida na prática médica, tornando-se restrita a alguns tipos de pesquisa. Não é proibido "digitar" as informações obtidas na anamnese; no entanto, a atenção exagerada ao computador é nociva. Não foram poucos os pacientes que me disseram ter abandonado um médico porque "ele tinha sua atenção inteiramente voltada para o computador".
Não há necessidade de descrição minuciosa de todas as informações, a não ser na fase em que o estudante está fazendo seu treinamento inicial. É conveniente registrar reações imprevistas, informações não verbais, gestos ou expressões faciais. Basta uma palavra ou uma frase, como "olhos lacrimejaram", "expressão de espanto", "gestos de impaciência", para registrar uma informação, sem necessidade de descrevê-la, fato que pode se revelar um dos mais importantes de uma entrevista. Ao final da anamnese, é interessante que se faça para o paciente um resumo das informações obtidas, criando oportunidade para correções ou acréscimos.
Portanto, fazer entrevista é uma arte que se aprimora com o tempo e à medida que se ganha experiência, mas ela só floresce verdadeiramente quando há um verdadeiro interesse em estabelecer uma boa comunicação com paciente.
Em uma entrevista clínica, parte das regras sociais de etiqueta não é aplicada. A conversa é centrada no paciente e, por isso, além de outros motivos, é considerada uma relação assimétrica, com características próprias: ausência de intimidade – uma condição que é essencial –, objetivos específicos, limite de tempo, locais preestabelecidos. Além disso, a frequência dos encontros é muito variável, podendo restringir-se a uma única vez ou repetidas vezes ao longo dos anos.
O primeiro encontro tem um significado especial e dele pode depender o sucesso ou o fracasso de um tratamento. O primeiro olhar, as primeiras palavras, os primeiros gestos podem ser decisivos na relação do médico com o paciente. Tanto pode ser uma ponte entre eles, por meio da qual vão transitar informações e emoções, como um muro que obstrui completamente a comunicação entre um e outro. Essa é uma das características mais evidentes de uma medicina de má qualidade.
Por fim, é essencial saber considerar a entrevista como principal elemento que estabelece o relacionamento entre duas pessoas. O sucesso de uma entrevista depende justamente da qualidade do relacionamento que o médico é capaz de estabelecer com o paciente. Em outras palavras: o que precisa ser compartilhado é o sentimento de compreensão e confiança mútua.
Disponível em: <http://www.rmmg.or>
Provas
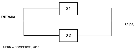
A confiabilidade total, entendida como a probabilidade de não haver falha é:
Provas
De acordo com a Norma Regulamentadora N.º 32 (NR 32), que trata de Segurança e Saúde no Trabalho em Serviços de Saúde, o Programa de Prevenção de Riscos Ambientais (PPRA) dos serviços de saúde deve conter a identificação dos riscos biológicos mais prováveis, em função da localização geográfica e da característica do serviço de saúde e seus setores.
Como o PPRA é um programa pautado pela ciência da higiene ocupacional, a identificação desses riscos biológicos será realizada na fase de
Provas
Você foi encarregado de fazer uma avaliação ocupacional de ruído contínuo ou intermitente seguindo os preceitos da Norma de Higiene Ocupacional (NHO 01) da Fundação Jorge Duprat Figueiredo de Segurança e Medicina do Trabalho (Fundacentro). Porém, após o término da avaliação, você observou que o dosímetro de ruído estava ajustado com os seguintes parâmetros:
• CR = 85 dB(A)
• NLI = 80 dB(A)
• q = 5 dB(A)
Dessa forma, o resultado obtido nessa avaliação ocupacional de ruído
Provas
Caderno Container