Foram encontradas 1.529 questões.
A respeito de avaliação de desempenho, julgue os seguintes itens.
O controle preliminar ou prévio é o controle que tem como foco o desempenho durante a execução dos processos.
Provas
A respeito de avaliação de desempenho, julgue os seguintes itens.
Pelas peculiaridades de cada organização, em termos de capacidade de investimento, infra-estrutura e área de atuação, deve-se evitar mensurar o desempenho de uma organização comparando-o com os desempenhos de organizações líderes do seu setor de atuação.
Provas
A respeito de avaliação de desempenho, julgue os seguintes itens.
No processo de medição de desempenho, considerando as funções administrativas, é exclusividade do controle a detecção de desvios entre o realizado e o esperado e a sua correção.
Provas
A respeito de avaliação de desempenho, julgue os seguintes itens.
A medição de desempenho é feita por meio do processo de controle, que depende do estabelecimento de padrões, tais como vendas, custos, lucros, produção, multas e reclamações.
Provas

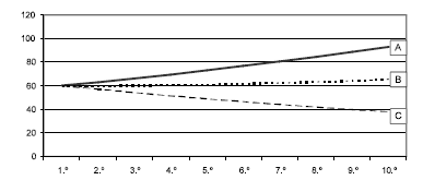
A partir da figura acima que descreve, graficamente, o resultado da análise de cenários, julgue os próximos itens.
Infere-se da figura que a linha B apresenta a tendência mais provável de ocorrer; a linha A, a tendência em uma visão otimista; e a linha C, a tendência em uma visão pessimista.
Provas

A partir da figura acima que descreve, graficamente, o resultado da análise de cenários, julgue os próximos itens.
A análise de cenários apresentada na figura foi realizada em ambiente de grande imprevisibilidade de mudanças e de difícil previsão de tendências.
Provas
O planejamento pode ser entendido como um processo desenvolvido para se atingir uma situação desejada e da melhor maneira possível. A esse respeito, julgue os itens a seguir.
A análise de séries temporais na elaboração de cenários pressupõe que situações passadas se repetirão no futuro.
Provas
- PODC: Processo OrganizacionalProcesso Administrativo: PlanejamentoPlanejamento Estratégico, Tático e OperacionalPlanejamento Estratégico
O planejamento pode ser entendido como um processo desenvolvido para se atingir uma situação desejada e da melhor maneira possível. A esse respeito, julgue os itens a seguir.
Considere que a opção recaia por metodologia de planejamento estratégico que utilize o diagnóstico estratégico como uma das fases. Então, nessa fase ocorrerá a avaliação se os sistemas, métodos e processos da organização se constituírem em aspectos positivos ou negativos para a obtenção dos resultados esperados e se a capacitação e as atitudes dos empregados forem adequadas aos desafios organizacionais.
Provas
- PODC: Processo OrganizacionalProcesso Administrativo: PlanejamentoPlanejamento Estratégico, Tático e OperacionalPlanejamento Estratégico
O planejamento pode ser entendido como um processo desenvolvido para se atingir uma situação desejada e da melhor maneira possível. A esse respeito, julgue os itens a seguir.
Há consenso entre as metodologias de que o planejamento estratégico deve ter início com o estabelecimento dos objetivos gerais da organização.
Provas
- PODC: Processo OrganizacionalProcesso Administrativo: PlanejamentoPlanejamento Estratégico, Tático e OperacionalPlanejamento Estratégico
O planejamento pode ser entendido como um processo desenvolvido para se atingir uma situação desejada e da melhor maneira possível. A esse respeito, julgue os itens a seguir.
Serão obtidos melhores resultados para a organização se as metodologias de planejamento estratégico forem implementadas exatamente como foram estabelecidas pelos seus autores, na teoria.
Provas
Caderno Container