Magna Concursos

Foram encontradas 1.568 questões.

448302 Ano: 2008
Disciplina: Estatística
Banca: FGV
Orgão: Senado

Um estatístico de uma companhia telefônica deseja estimar a proporção p de clientes satisfeitos com a introdução de um novo tipo de serviço. Suponha que o número de clientes da companhia seja grande. Sabe-se, com base em experiências anteriores, que p deve estar próxima de 0,50. O menor tamanho de amostra que ele deve considerar de modo a garantir com probabilidade de 95% um erro absoluto de estimação de no máximo 0,02 é:

 

Provas

Questão presente nas seguintes provas
448301 Ano: 2008
Disciplina: Estatística
Banca: FGV
Orgão: Senado

Avalie as afirmativas a seguir acerca de estatísticas suficientes minimais:

I. Uma estatística é suficiente minimal se é suficiente e se é uma função de alguma outra estatística suficiente.

II. Se um estimador de máxima verossimilhança é uma estatística suficiente então ele é uma estatística suficiente minimal.

III. Se um estimador de Bayes é uma estatística suficiente, então ele é uma estatística suficiente minimal.

Assinale:

 

Provas

Questão presente nas seguintes provas
448300 Ano: 2008
Disciplina: Estatística
Banca: FGV
Orgão: Senado

A respeito dos principais tipos de amostragem, é correto afirmar que:

 

Provas

Questão presente nas seguintes provas
448297 Ano: 2008
Disciplina: Estatística
Banca: FGV
Orgão: Senado

Uma amostra aleatória simples de tamanho 10 de uma densidade uniforme no intervalo Enunciado 2610465-1 forneceu os seguintes dados:

2,12 3,46 5,90 7,34 5,31 7,88 6,02 6,54 1,07 0,38

A estimativa de máxima verossimilhança da média dessa densidade é:

 

Provas

Questão presente nas seguintes provas
448296 Ano: 2008
Disciplina: Estatística
Banca: FGV
Orgão: Senado

Considere que uma amostra aleatória simples de tamanho n = 5 de uma distribuição Bernoulli com probabilidade de sucesso p seja usada para testar H0: p = 0,5 versus H1: p = 0,7 e que seja usado o critério que rejeita a hipótese nula se forem observados 4 ou 5 sucessos. A probabilidade de se cometer erro tipo 1 é igual a:

 

Provas

Questão presente nas seguintes provas
448295 Ano: 2008
Disciplina: Estatística
Banca: FGV
Orgão: Senado

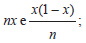
Considere uma amostra aleatória simples X1, X2, ..., Xn de uma distribuição exponencial com médiaEnunciado 2610474-1. O estimador não viesado de variância uniformemente mínima de Enunciado 2610474-2 é:

 

Provas

Questão presente nas seguintes provas
448294 Ano: 2008
Disciplina: Estatística
Banca: FGV
Orgão: Senado

Seja X uma variável aleatória com distribuição uniforme no intervalo (0,1) e suponha que a distribuição condicional de Y dado X = x seja binomial (n, x). Nesse caso, a esperança e a variância da variável aleatória Y são respectivamente:

 

Provas

Questão presente nas seguintes provas
448290 Ano: 2008
Disciplina: Estatística
Banca: FGV
Orgão: Senado

A tabela de contingência a seguir foi obtida para se testar homogeneidade entre as proporções de conceitos obtidos em um exame nacional com dois métodos de ensino:

Enunciado 2610487-1

O valor da estatística qui-quadrado usual para esses dados é:

 

Provas

Questão presente nas seguintes provas
448286 Ano: 2008
Disciplina: Estatística
Banca: FGV
Orgão: Senado

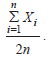
Uma amostra aleatória simples X1, X2, ..., X16, de tamanho 16, de uma distribuição normal foi observada e indicou as seguintes estatísticas:

Enunciado 2610467-1

O intervalo usual de 95% de confiança para a média populacional, com duas casas decimais, é:

 

Provas

Questão presente nas seguintes provas
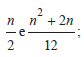
448283 Ano: 2008
Disciplina: Estatística
Banca: FGV
Orgão: Senado

Enunciado 2610460-1

Usando a desigualdade de Tchebyshev, o menor valor de n de modo a assegurar a validade da desigualdade em (I) é:

 

Provas

Questão presente nas seguintes provas