Foram encontradas 540 questões.
Um ponto material realiza movimento harmônico simples sobre
um eixo OX, sendo sua equação horária em função do tempo:
Nessas condições, em t = 2 segundos, a velocidade escalar e a aceleração escalar do ponto material no eixo X são
Nessas condições, em t = 2 segundos, a velocidade escalar e a aceleração escalar do ponto material no eixo X são
Provas
Questão presente nas seguintes provas
Numa fábrica, um operário deixou cair, por engano, uma pedra de
gelo de 20 kg a – 10 ºC dentro de um calorímetro contendo um
composto químico líquido que deve ser mantido a 50 ºC. Para
restabelecer a temperatura do líquido em 50 ºC, injetou-se no
calorímetro vapor d’água a 120 ºC. Considere o calor latente de
fusão do gelo 80 cal/g, o latente de condensação do vapor d’água
540 cal/g, o calor específico da água líquida 1 cal/(gº
.C) e os calores
específicos do gelo e do vapor d’água ambos iguais a
0,5 cal/(g . ºC).
A massa do vapor d’água injetado no calorímetro foi
A massa do vapor d’água injetado no calorímetro foi
Provas
Questão presente nas seguintes provas
O sistema representado na figura a seguir é abandonado, com os
blocos 1 e 2 nas posições indicadas.
Os blocos 1 e 2 têm massas iguais, a roldana e os fios são ideais e os atritos são desprezíveis.
Sendo g, o módulo da aceleração da gravidade, a aceleração adquirida pelo bloco 2 é
Os blocos 1 e 2 têm massas iguais, a roldana e os fios são ideais e os atritos são desprezíveis.
Sendo g, o módulo da aceleração da gravidade, a aceleração adquirida pelo bloco 2 é
Provas
Questão presente nas seguintes provas
A figura representa um fio condutor rígido de 40 cm de
comprimento e 400 g de massa ligado a um circuito através de
contatos deslizantes sem atrito.
condutor está preso a um dinamômetro isolante que se encontra em uma região onde há um campo magnético perpendicular ao plano do fio e apontando para fora de módulo igual a 2 T. Inicialmente a chave está aberta.
Fecha-se a chave.
Reestabelecido o equilíbrio e sabendo que a resistência total no fio é de 2 Ω, o voltímetro irá acusar
condutor está preso a um dinamômetro isolante que se encontra em uma região onde há um campo magnético perpendicular ao plano do fio e apontando para fora de módulo igual a 2 T. Inicialmente a chave está aberta.
Fecha-se a chave.
Reestabelecido o equilíbrio e sabendo que a resistência total no fio é de 2 Ω, o voltímetro irá acusar
Provas
Questão presente nas seguintes provas
Para fazer a temperatura de 5 mols de um gás ideal aumentar
20 ºC é necessário ceder a ele 500 cal sob a forma de calor, a
pressão constante. Considere a constante universal dos gases
2 cal/(mol.K).
A menor quantidade de calor capaz de fazer essa massa gasosa sofrer esse acréscimo de 20 ºC na temperatura é
A menor quantidade de calor capaz de fazer essa massa gasosa sofrer esse acréscimo de 20 ºC na temperatura é
Provas
Questão presente nas seguintes provas
Um projétil é lançado obliquamente do solo com um ângulo de tiro θ, como ilustra a figura.

Suponha a resistência do ar desprezível. Sejam H a altura máxima atingida por ele e R o raio de curvatura da trajetória no ponto mais alto atingido.
A razão R/H vale
Provas
Questão presente nas seguintes provas
- EletromagnetismoElétricaCircuitos Elétricos Especiais: Leis de Kirchhoff e Ponte de Wheatstone
- EletromagnetismoElétricaEletricidade
No circuito esquematizado na figura, o voltímetro V, indica 12 V.
Sendo assim, o amperímetro A, está indicando


Provas
Questão presente nas seguintes provas
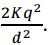
Três pequenas esferas A, B e C, todas carregadas com a mesma
carga q são abandonadas sobre uma superfície horizontal,
alinhadas, nas posições indicadas na figura a seguir.
Seja K a constante eletrostática.
Tendo-se em conta as distâncias indicadas na figura, o módulo da resultante das forças de origem elétrica que atuam na esfera C é igual a
Seja K a constante eletrostática.
Tendo-se em conta as distâncias indicadas na figura, o módulo da resultante das forças de origem elétrica que atuam na esfera C é igual a
Provas
Questão presente nas seguintes provas
Um fio de cobre de seção uniforme de área igual a 1,00 mm2 é
percorrido por uma corrente elétrica de intensidade constante e
igual a 2,72 A. O cobre possui 8,50x1028 elétrons livres por metro
cúbico. O módulo da carga do elétron é 1,60x10-19 C.
A velocidade média dos elétrons que percorrem esse fio é de
A velocidade média dos elétrons que percorrem esse fio é de
Provas
Questão presente nas seguintes provas
Outra inovação tecnológica surgida na primeira metade do século
XX, foi a utilização da refrigeração a ar em vez da refrigeração a
água. Nos veículos cujos motores são refrigerados a água, são
necessários dutos para colocar a água em contato com o motor
aquecido e um radiador para resfriar a água que vai ser reutilizada
para a refrigeração. Já na refrigeração a ar, o fluxo de ar ambiente,
criado pelo próprio movimento do veículo, levado por aletas a
entrar em contato com o motor, rouba calor ao passar por ele. Ora,
o calor específico da água é 1,0 cal/gºC, enquanto o do ar é 0,25
cal/gºC.
Assim sendo, para que ambos os sistemas de refrigeração tenham a mesma eficiência, isto é, provoquem o mesmo decréscimo na temperatura do motor durante o mesmo intervalo de tempo, a massa m de ar e a massa m’ de água utilizadas devem ser tais que
Assim sendo, para que ambos os sistemas de refrigeração tenham a mesma eficiência, isto é, provoquem o mesmo decréscimo na temperatura do motor durante o mesmo intervalo de tempo, a massa m de ar e a massa m’ de água utilizadas devem ser tais que
Provas
Questão presente nas seguintes provas
Cadernos
Caderno Container