Foram encontradas 65 questões.
Considere a função f : ℝ → ℝ, tal que
![]()
É correto afirmar que, de x = 0 a x = 6, o valor de f
Provas
Questão presente nas seguintes provas
A equação do 2º grau dada por:
2x2 − √7x + 1 = k
terá solução real única se k for igual a
Provas
Questão presente nas seguintes provas
Considere a função f : ℝ → ℝ, tal que
![]()
Sejam M e m, respectivamente, os valores máximo e mínimo de f. O valor de Mm é
Provas
Questão presente nas seguintes provas
Um quadrado, cujos vértices foram nomeados no sentido horário
como A, B, C e D, tem o lado AB em comum com um octógono
regular convexo, cujos vértices foram nomeados, também no
sentido horário, como A, E, F, G, H, I, J e B.
O segmento DF intersecta o lado AE do octógono no ponto K. A razão entre as medidas dos segmentos AK e EK é
O segmento DF intersecta o lado AE do octógono no ponto K. A razão entre as medidas dos segmentos AK e EK é
Provas
Questão presente nas seguintes provas
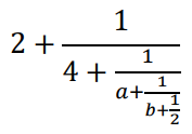
O número 105/47 pode também ser representado nas formas:

Se esse mesmo número for representado na forma

os números α e b serão tais que α + b é igual a
Provas
Questão presente nas seguintes provas
Considere a fórmula de Euler:
em que x é um argumento real em radianos,
é a base do
logaritmo natural e i2 = −1.
Com base nessas informações, é correto concluir que ln (i) é igual a
em que x é um argumento real em radianos,
Com base nessas informações, é correto concluir que ln (i) é igual a
Provas
Questão presente nas seguintes provas
Considere o polinômio P(x) = x3 − x2 + 3x + 1. O resto da
divisão do polinômio P(x − 1) por x − 2 é
Provas
Questão presente nas seguintes provas
Em um jogo, só existe a possibilidade de serem sorteados 3
números: 2, 3 e 4. A probabilidade de que cada um desses números
seja o resultado do sorteio é inversamente proporcional ao
quadrado do próprio número.
Sorteando-se um desses números aleatoriamente, a probabilidade de que tal número seja par é
Sorteando-se um desses números aleatoriamente, a probabilidade de que tal número seja par é
Provas
Questão presente nas seguintes provas
A figura a seguir ilustra, no plano cartesiano, uma elipse com
centro na origem e focos sobre o eixo das abscissas.
São dadas, na imagem, as coordenadas dos vértices.
Uma reta, cuja equação é 2y − x = b, tangencia essa elipse. Se b > 0, essa reta intersecta o eixo das ordenadas em
Uma reta, cuja equação é 2y − x = b, tangencia essa elipse. Se b > 0, essa reta intersecta o eixo das ordenadas em
Provas
Questão presente nas seguintes provas
Um produto é vendido a R$ 8,00 em embalagens idênticas, que
contém sempre a mesma quantidade em gramas. O fabricante
quer aumentar a receita por grama do produto em 25%. No
entanto, em vez de alterar o preço, modificará a quantidade de
produto por embalagem, colocando 70 gramas a menos.
Para atingir esse objetivo, as embalagens devem passar a conter
Para atingir esse objetivo, as embalagens devem passar a conter
Provas
Questão presente nas seguintes provas
Cadernos
Caderno Container