Foram encontradas 50 questões.
Na tradição filosófica em que predomina a
abordagem metafísica busca-se a(o):
Provas
Questão presente nas seguintes provas
O policloreto de vinila (PVC) é um polímero
empregado em tubulações domésticas por exemplo.
Assinale a alternativa que apresenta a estrutura
correta do monômero do policloreto de vinila
Provas
Questão presente nas seguintes provas
Segundo a Lei de Soddy, o isótopo de plutônio ao
emitir uma partícula alfa dará origem ao isótopo
apresentado na alternativa:


Provas
Questão presente nas seguintes provas
Uma mistura homogênea, composta por n-hexano e acetato de etila, pode ter seus componentes separados pela técnica denominada:
Dados: -Hexano p.e. 69 ºC; Acetato de Etila p.e. 77 ºC.
Provas
Questão presente nas seguintes provas
- Química CinéticaRepresentação das Transformações Químicas
- Química InorgânicaSoluções e Substâncias Inorgânicas
Assinale a alternativa que apresenta corretamente a
quantidade de mL de solução de NaOH 1,0 M
necessários para a neutralização de 100 mL de uma
solução de HCl 0,5 M
Provas
Questão presente nas seguintes provas
- FundamentosPropriedades das Substâncias
- Química InorgânicaGeometria Molecular, Polaridade e Forças Intermoleculares
Considerando a Teoria da repulsão entre os pares de
elétrons da camada de valência, o composto PCl5 deve ter geometria molecular do tipo
Provas
Questão presente nas seguintes provas
- FundamentosPropriedades das Substâncias
- Química InorgânicaGeometria Molecular, Polaridade e Forças Intermoleculares
Solventes próticos são aqueles cujas moléculas
interagem entre si por meio de pontes de hidrogênio.
Assinale a alternativa que apresenta um exemplo de
solvente prótico.
Provas
Questão presente nas seguintes provas
O β-mirceno é um produto natural presente no óleo
essencial do gênero Myrcia. Esse produto natural tem
importância econômica, pois é empregado na
fabricação de perfumes. A estrutura química do
β-mirceno está representada a seguir:
Segundo as normas de nomenclatura da IUPAC, o
nome oficial do β-mirceno é apresentado
corretamente na alternativa:
Segundo as normas de nomenclatura da IUPAC, o
nome oficial do β-mirceno é apresentado
corretamente na alternativa: Provas
Questão presente nas seguintes provas
O ΔE0 da reação mostrada a seguir é igual a:

Provas
Questão presente nas seguintes provas
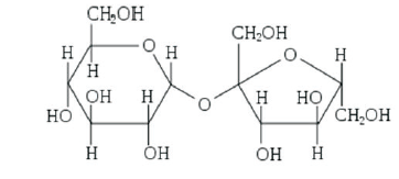
- Química OrgânicaFunções Oxigenadas: Cetona, Aldeído, Éter, Éster, Ácido Carboxílico etc.
- Química OrgânicaGlicídios, Lipídios, Aminoácidos e Proteínas.
- Química OrgânicaHidrocarbonetos
Considerando a estrutura sacarose representada a
seguir, pode-se afirmar que a sacarose é um(a)


Provas
Questão presente nas seguintes provas
Cadernos
Caderno Container