Foram encontradas 91 questões.
Uma permutação de um número natural é um outro número natural que possui exatamente os mesmos algarismos em outra ordem. Se todas as permutações do número 31452 foram escritas em ordem crescente, o número que ocupará a 80ª posição nessa lista será:
Provas
Questão presente nas seguintes provas
As letras B, R, A, S, I, L devem ser escritas nas faces de um cubo, com uma letra em cada face. O número de maneiras diferentes em que essas letras podem ser colocadas nas faces do cubo é:
Provas
Questão presente nas seguintes provas
O professor dá aos seus 20 alunos da turma de recuperação uma questão de múltipla escolha com 4 opções de resposta. Desses 20 alunos, 8 sabem resolvê-la e, portanto, vão assinalar a resposta correta. Os outros não sabem resolver e vão assinalar, ao acaso, uma opção. Se um aluno dessa turma for escolhido ao acaso, a probabilidade de que ele tenha acertado essa questão é:
Provas
Questão presente nas seguintes provas
Uma das raízes complexas da equação x 3 - 3x 2 + 8x - 6 = 0 é:
Provas
Questão presente nas seguintes provas
Na expansão decimal do número 3 , o 100º algarismo após a vírgula é:
7
7
Provas
Questão presente nas seguintes provas
Em uma loja, uma bolsa que custa R$70,00 à vista pode ser adquirida com um pagamento de R$30,00 no ato da compra mais um cheque de R$46,00 para ser descontado 30 dias após a compra. A taxa de juros ao mês que a loja está cobrando é de:
Provas
Questão presente nas seguintes provas
. Uma loja de roupas de malha vende camisetas com malha de três qualidades. Cada camiseta de malha comum custa R$15,00, de malha superior custa R$24,00 e de malha especial custa R$30,00. Certo mês, a loja vendeu 180 camisetas de malha comum, 150 de malha superior e 70 de malha especial. O preço médio, em reais, da venda de uma camiseta foi de:
Provas
Questão presente nas seguintes provas
Os pontos A = (1, 2), B = (5, 7) e C = (11, y) são colineares. O valor de y é:
Provas
Questão presente nas seguintes provas
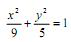
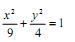
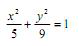
São dados os pontos F = (2,0) e F'= (-2,0) . O ponto P = (x, y) é tal que a soma de suas distâncias aos pontos F e F´ é igual a 6. A equação da curva descrita pelo ponto P é:
Provas
Questão presente nas seguintes provas
A figura abaixo mostra um cilindro reto inscrito em um cone: a base inferior do cilindro está sobre a base do cone, e a circunferência da base superior do cilindro está sobre a superfície lateral do cone.

Sabe-se que a altura do cilindro é a metade da altura do cone e que o volume do cilindro é de 150cm3 . O volume do cone é:

Sabe-se que a altura do cilindro é a metade da altura do cone e que o volume do cilindro é de 150cm3 . O volume do cone é:
Provas
Questão presente nas seguintes provas
Cadernos
Caderno Container